0%

力扣周赛283-300

在今年寒假改完论文后,做了一个决定,就是在条件允许的情况下参加力扣周赛。只是做自己想做的事,语言用回C++吧。希望自己能够在其中得到成长。

Weekly Contest 283

第一次练手没想到超水平发挥了

image-20220515220946082

2194. Cells in a Range on an Excel Sheet

A cell (r, c) of an excel sheet is represented as a string "<col><row>" where

  • ““denotes the column number:”c”of the cell. It is represented by alphabetical letters

    • For example, the 1st column is denoted by 'A', the 2nd by 'B', the 3rd by 'C', and so on.
  • <row> is the row number r of the cell. The rth row is represented by the integer r.

You are given a string s in the format "<col1><row1>:<col2><row2>", where <col1> represents the column c1, <row1> represents the row r1, <col2> represents the column c2, and <row2> represents the row r2, such that r1 <= r2 and c1 <= c2.

Return the list of cells (x, y) such that r1 <= x <= r2 and c1 <= y <= c2. The cells should be represented as strings in the format mentioned above and be sorted in non-decreasing order first by columns and then by rows.

Example 1:

img

1
2
3
4
5
Input: s = "K1:L2"
Output: ["K1","K2","L1","L2"]
Explanation:
The above diagram shows the cells which should be present in the list.
The red arrows denote the order in which the cells should be presented.

Example 2:

img

1
2
3
4
5
Input: s = "A1:F1"
Output: ["A1","B1","C1","D1","E1","F1"]
Explanation:
The above diagram shows the cells which should be present in the list.
The red arrow denotes the order in which the cells should be presented.

Constraints:

  • s.length == 5
  • 'A' <= s[0] <= s[3] <= 'Z'
  • '1' <= s[1] <= s[4] <= '9'
  • s consists of uppercase English letters, digits and ':'.

Easy,转化为行列二重循环

1
2
3
4
5
6
7
8
9
10
11
12
13
14
15
16
17
class Solution {
public:
vector<string> cellsInRange(string s) {
char start_letter = s[0], end_letter = s[3];
char start_number = s[1], end_number = s[4];
std::vector<string> res;
for (char c = start_letter; c <= end_letter; c++) {
for (char n = start_number; n <= end_number; n++) {
string y("");
y += c;
y += n;
res.push_back(y);
}
}
return res;
}
};

2195. Append K Integers With Minimal Sum

You are given an integer array nums and an integer k. Append k unique positive integers that do not appear in nums to nums such that the resulting total sum is minimum.

Return the sum of the k integers appended to nums.

Example 1:

1
2
3
4
5
Input: nums = [1,4,25,10,25], k = 2
Output: 5
Explanation: The two unique positive integers that do not appear in nums which we append are 2 and 3.
The resulting sum of nums is 1 + 4 + 25 + 10 + 25 + 2 + 3 = 70, which is the minimum.
The sum of the two integers appended is 2 + 3 = 5, so we return 5.

Example 2:

1
2
3
4
5
Input: nums = [5,6], k = 6
Output: 25
Explanation: The six unique positive integers that do not appear in nums which we append are 1, 2, 3, 4, 7, and 8.
The resulting sum of nums is 5 + 6 + 1 + 2 + 3 + 4 + 7 + 8 = 36, which is the minimum.
The sum of the six integers appended is 1 + 2 + 3 + 4 + 7 + 8 = 25, so we return 25.

Constraints:

  • 1 <= nums.length <= 105
  • 1 <= nums[i] <= 109
  • 1 <= k <= 108

Medium,原数组排序,依次计算放入后的最小值

1
2
3
4
5
6
7
8
9
10
11
12
13
14
15
16
17
18
class Solution {
public:
long long minimalKSum(vector<int>& nums, int k) {
sort(nums.begin(), nums.end());
unordered_set<int> used;
long long sum = ((long long)k * (long long)(k + 1)) / 2;
int temp = k + 1;
for (int num: nums) {
if (num < temp && used.find(num) == used.end()) {
sum -= num;
sum += temp;
used.insert(num);
temp++;
}
}
return sum;
}
};

Failed: 2196. Create Binary Tree From Descriptions

You are given a 2D integer array descriptions where descriptions[i] = [parenti, childi, isLefti] indicates that parenti is the parent of childi in a binary tree of unique values. Furthermore,

  • If isLefti == 1, then childi is the left child of parenti.
  • If isLefti == 0, then childi is the right child of parenti.

Construct the binary tree described by descriptions and return its root.

The test cases will be generated such that the binary tree is valid.

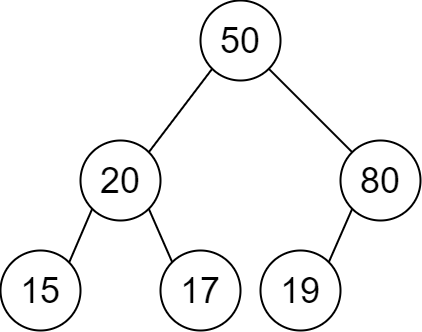
Example 1:

img

1
2
3
4
Input: descriptions = [[20,15,1],[20,17,0],[50,20,1],[50,80,0],[80,19,1]]
Output: [50,20,80,15,17,19]
Explanation: The root node is the node with value 50 since it has no parent.
The resulting binary tree is shown in the diagram.

Example 2:

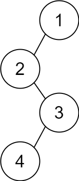
img

1
2
3
4
Input: descriptions = [[1,2,1],[2,3,0],[3,4,1]]
Output: [1,2,null,null,3,4]
Explanation: The root node is the node with value 1 since it has no parent.
The resulting binary tree is shown in the diagram.

Constraints:

  • 1 <= descriptions.length <= 104

  • descriptions[i].length == 3

  • 1 <= parenti, childi <= 105

  • 0 <= isLefti <= 1

  • The binary tree described by descriptions is valid.

    Medium,图的深度遍历

1
2
3
4
5
6
7
8
9
10
11
12
13
14
15
16
17
18
19
20
21
22
23
24
25
26
27
28
29
30
31
32
33
34
35
36
37
38
39
/**
* Definition for a binary tree node.
* struct TreeNode {
* int val;
* TreeNode *left;
* TreeNode *right;
* TreeNode() : val(0), left(nullptr), right(nullptr) {}
* TreeNode(int x) : val(x), left(nullptr), right(nullptr) {}
* TreeNode(int x, TreeNode *left, TreeNode *right) : val(x), left(left), right(right) {}
* };
*/
class Solution {
public:
TreeNode* createBinaryTree(vector<vector<int>>& descriptions) {
unordered_map<int, TreeNode*> getNode;
unordered_map<int, bool> isChild; //to check if node has parent or not
for(auto &v: descriptions){
if (getNode.count(v[0]) == 0){
TreeNode* par = new TreeNode(v[0]);
getNode[v[0]] = par;
}
if (getNode.count(v[1]) == 0){
TreeNode* child = new TreeNode(v[1]);
getNode[v[1]] = child;
}
if(v[2] == 1) getNode[v[0]]->left = getNode[v[1]]; //left-child
else getNode[v[0]]->right = getNode[v[1]]; //right-child
isChild[v[1]] = true;
}
TreeNode* ans = NULL;
for(auto &v: descriptions){
if (isChild[v[0]] != true) { //if node has no parent then this is root node
ans = getNode[v[0]];
break;
}
}
return ans;
}
};

2197. Replace Non-Coprime Numbers in Array

You are given an array of integers nums. Perform the following steps:

  1. Find any two adjacent numbers in nums that are non-coprime.
  2. If no such numbers are found, stop the process.
  3. Otherwise, delete the two numbers and replace them with their LCM (Least Common Multiple).
  4. Repeat this process as long as you keep finding two adjacent non-coprime numbers.

Return the final modified array. It can be shown that replacing adjacent non-coprime numbers in any arbitrary order will lead to the same result.

The test cases are generated such that the values in the final array are less than or equal to 108.

Two values x and y are non-coprime if GCD(x, y) > 1 where GCD(x, y) is the Greatest Common Divisor of x and y.

Example 1:

1
2
3
4
5
6
7
8
9
10
Input: nums = [6,4,3,2,7,6,2]
Output: [12,7,6]
Explanation:
- (6, 4) are non-coprime with LCM(6, 4) = 12. Now, nums = [12,3,2,7,6,2].
- (12, 3) are non-coprime with LCM(12, 3) = 12. Now, nums = [12,2,7,6,2].
- (12, 2) are non-coprime with LCM(12, 2) = 12. Now, nums = [12,7,6,2].
- (6, 2) are non-coprime with LCM(6, 2) = 6. Now, nums = [12,7,6].
There are no more adjacent non-coprime numbers in nums.
Thus, the final modified array is [12,7,6].
Note that there are other ways to obtain the same resultant array.

Example 2:

1
2
3
4
5
6
7
8
9
Input: nums = [2,2,1,1,3,3,3]
Output: [2,1,1,3]
Explanation:
- (3, 3) are non-coprime with LCM(3, 3) = 3. Now, nums = [2,2,1,1,3,3].
- (3, 3) are non-coprime with LCM(3, 3) = 3. Now, nums = [2,2,1,1,3].
- (2, 2) are non-coprime with LCM(2, 2) = 2. Now, nums = [2,1,1,3].
There are no more adjacent non-coprime numbers in nums.
Thus, the final modified array is [2,1,1,3].
Note that there are other ways to obtain the same resultant array.

Constraints:

  • 1 <= nums.length <= 105
  • 1 <= nums[i] <= 105
  • The test cases are generated such that the values in the final array are less than or equal to 108.

Hard,相邻的数求最小公倍数,特别注意1

1
2
3
4
5
6
7
8
9
10
11
12
13
14
15
16
17
18
19
20
21
22
23
24
25
26
27
28
29
30
31
32
33
34
35
36
37
38
39
40
class Solution {
public:
vector<int> replaceNonCoprimes(vector<int>& nums) {
vector<int> res;
res.push_back(nums[0]);
for (int i = 1; i < nums.size(); i++) {
res.push_back(nums[i]);
while (res.size() > 1) {
int num2 = res[res.size() - 1];
res.pop_back();
int num1 = res[res.size() - 1];
res.pop_back();
int gcd = countGCD(num1, num2);
if (gcd == 1) {
res.push_back(num1);
res.push_back(num2);
break;
} else {
res.push_back(num1 / gcd * num2);
}
}
}
return res;
}
int countGCD(int num1, int num2) {
if (num1 < num2) {
int temp = num1;
num1 = num2;
num2 = temp;
}
while (num2 > 1) {
int m = num1 % num2;
if (m == 0) return num2;
if (m == 1) return 1;
num1 = num2;
num2 = m;
}
return num2 == 1 ? num2 : num1;
}
};

Weekly Contest 284

2200. Find All K-Distant Indices in an Array

You are given a 0-indexed integer array nums and two integers key and k. A k-distant index is an index i of nums for which there exists at least one index j such that |i - j| <= k and nums[j] == key.

Return a list of all k-distant indices sorted in increasing order.

Example 1:

1
2
3
4
5
6
7
8
9
10
11
Input: nums = [3,4,9,1,3,9,5], key = 9, k = 1
Output: [1,2,3,4,5,6]
Explanation: Here, nums[2] == key and nums[5] == key.
- For index 0, |0 - 2| > k and |0 - 5| > k, so there is no j where |0 - j| <= k and nums[j] == key. Thus, 0 is not a k-distant index.
- For index 1, |1 - 2| <= k and nums[2] == key, so 1 is a k-distant index.
- For index 2, |2 - 2| <= k and nums[2] == key, so 2 is a k-distant index.
- For index 3, |3 - 2| <= k and nums[2] == key, so 3 is a k-distant index.
- For index 4, |4 - 5| <= k and nums[5] == key, so 4 is a k-distant index.
- For index 5, |5 - 5| <= k and nums[5] == key, so 5 is a k-distant index.
- For index 6, |6 - 5| <= k and nums[5] == key, so 6 is a k-distant index.
Thus, we return [1,2,3,4,5,6] which is sorted in increasing order.

Example 2:

1
2
3
4
Input: nums = [2,2,2,2,2], key = 2, k = 2
Output: [0,1,2,3,4]
Explanation: For all indices i in nums, there exists some index j such that |i - j| <= k and nums[j] == key, so every index is a k-distant index.
Hence, we return [0,1,2,3,4].

Constraints:

  • 1 <= nums.length <= 1000
  • 1 <= nums[i] <= 1000
  • key is an integer from the array nums.
  • 1 <= k <= nums.length

Easy,顺序遍历找到key的位置,再次遍历得到所有数

1
2
3
4
5
6
7
8
9
10
11
12
13
14
15
16
17
18
19
20
21
22
23
24
25
26
27
28
29
class Solution {
public:
vector<int> findKDistantIndices(vector<int>& nums, int key, int k) {
vector<int> index;
vector<int> res;
const int n = nums.size();
for (int i = 0; i < n; i++) {
if (nums[i] == key) {
index.push_back(i);
}
}
if (index.size() == 0) {
return res;
}
int end = -1;
for (int i = 0; i < index.size() && end < n - 1; i++) {
int start = std::max(end + 1, index[i] - k);
end = std::min(index[i] + k, n - 1);
if (start > end) {
end = start;
continue;
}
for (int j = start; j <= end; j++) {
res.push_back(j);
}
}
return res;
}
};

2201. Count Artifacts That Can Be Extracted

There is an n x n 0-indexed grid with some artifacts buried in it. You are given the integer n and a 0-indexed 2D integer array artifacts describing the positions of the rectangular artifacts where artifacts[i] = [r1i, c1i, r2i, c2i] denotes that the ith artifact is buried in the subgrid where:

  • (r1i, c1i) is the coordinate of the top-left cell of the ith artifact and
  • (r2i, c2i) is the coordinate of the bottom-right cell of the ith artifact.

You will excavate some cells of the grid and remove all the mud from them. If the cell has a part of an artifact buried underneath, it will be uncovered. If all the parts of an artifact are uncovered, you can extract it.

Given a 0-indexed 2D integer array dig where dig[i] = [ri, ci] indicates that you will excavate the cell (ri, ci), return the number of artifacts that you can extract.

The test cases are generated such that:

  • No two artifacts overlap.
  • Each artifact only covers at most 4 cells.
  • The entries of dig are unique.

Example 1:

img

1
2
3
4
5
6
7
Input: n = 2, artifacts = [[0,0,0,0],[0,1,1,1]], dig = [[0,0],[0,1]]
Output: 1
Explanation:
The different colors represent different artifacts. Excavated cells are labeled with a 'D' in the grid.
There is 1 artifact that can be extracted, namely the red artifact.
The blue artifact has one part in cell (1,1) which remains uncovered, so we cannot extract it.
Thus, we return 1.

Example 2:

img

1
2
3
Input: n = 2, artifacts = [[0,0,0,0],[0,1,1,1]], dig = [[0,0],[0,1],[1,1]]
Output: 2
Explanation: Both the red and blue artifacts have all parts uncovered (labeled with a 'D') and can be extracted, so we return 2.

Constraints:

  • 1 <= n <= 1000
  • 1 <= artifacts.length, dig.length <= min(n2, 105)
  • artifacts[i].length == 4
  • dig[i].length == 2
  • 0 <= r1i, c1i, r2i, c2i, ri, ci <= n - 1
  • r1i <= r2i
  • c1i <= c2i
  • No two artifacts will overlap.
  • The number of cells covered by an artifact is at most 4.
  • The entries of dig are unique.

Medium,每块瑕疵标记清除

1
2
3
4
5
6
7
8
9
10
11
12
13
14
15
16
17
18
19
20
21
22
23
24
25
26
27
28
29
class Solution {
public:
int digArtifacts(int n, vector<vector<int>>& artifacts, vector<vector<int>>& dig) {
int res = 0;
vector<vector<int>> mat(n, vector<int>(n, 0));
for (int i = 0; i < artifacts.size(); i++) {
for (int r = artifacts[i][0]; r <= artifacts[i][2]; r++) {
for (int c = artifacts[i][1]; c <= artifacts[i][3]; c++) {
mat[r][c] = i + 1;
}
}
}
for (auto pos: dig) {
mat[pos[0]][pos[1]] = 0;
}
vector<bool> count(artifacts.size(), true);
for (int i = 0; i < n; i++) {
for (int j = 0; j < n; j++) {
if (mat[i][j] != 0) {
count[mat[i][j] - 1] = false;
}
}
}
for (bool num: count) {
if (num == true) res++;
}
return res;
}
};

Failed: 2202. Maximize the Topmost Element After K Moves

You are given a 0-indexed integer array nums representing the contents of a pile, where nums[0] is the topmost element of the pile.

In one move, you can perform either of the following:

  • If the pile is not empty, remove the topmost element of the pile.
  • If there are one or more removed elements, add any one of them back onto the pile. This element becomes the new topmost element.

You are also given an integer k, which denotes the total number of moves to be made.

Return the maximum value of the topmost element of the pile possible after exactly k moves. In case it is not possible to obtain a non-empty pile after k moves, return -1.

Example 1:

1
2
3
4
5
6
7
8
9
Input: nums = [5,2,2,4,0,6], k = 4
Output: 5
Explanation:
One of the ways we can end with 5 at the top of the pile after 4 moves is as follows:
- Step 1: Remove the topmost element = 5. The pile becomes [2,2,4,0,6].
- Step 2: Remove the topmost element = 2. The pile becomes [2,4,0,6].
- Step 3: Remove the topmost element = 2. The pile becomes [4,0,6].
- Step 4: Add 5 back onto the pile. The pile becomes [5,4,0,6].
Note that this is not the only way to end with 5 at the top of the pile. It can be shown that 5 is the largest answer possible after 4 moves.

Example 2:

1
2
3
4
5
Input: nums = [2], k = 1
Output: -1
Explanation:
In the first move, our only option is to pop the topmost element of the pile.
Since it is not possible to obtain a non-empty pile after one move, we return -1.

Constraints:

  • 1 <= nums.length <= 105
  • 0 <= nums[i], k <= 109

Medium,使用大根堆保存最大数,再分类讨论

1
2
3
4
5
6
7
8
9
10
11
12
13
14
15
16
17
18
19
20
21
22
23
24
25
26
27
28
class Solution {
public:
int maximumTop(vector<int>& nums, int k) {
const int n = nums.size();
if (n == 0 || (n == 1 && k % 2 == 1)) {
return -1;
}
if (k == 0) {
return nums[0];
}
if (k == 1) {
return nums[1];
}
priority_queue<int, vector<int>, less<int>> pq;
for (int i = 0; i <= min(k - 1, n - 1); i++) {
pq.push(nums[i]);
}
if (k - 1 < n - 1) {
if (pq.top() == nums[k - 1]) {
pq.pop();
}
if (nums[k] > pq.top()) {
return nums[k];
}
}
return pq.top();
}
};

Failed: 2203. Minimum Weighted Subgraph With the Required Paths

You are given an integer n denoting the number of nodes of a weighted directed graph. The nodes are numbered from 0 to n - 1.

You are also given a 2D integer array edges where edges[i] = [fromi, toi, weighti] denotes that there exists a directed edge from fromi to toi with weight weighti.

Lastly, you are given three distinct integers src1, src2, and dest denoting three distinct nodes of the graph.

Return the minimum weight of a subgraph of the graph such that it is possible to reach dest from both src1 and src2 via a set of edges of this subgraph. In case such a subgraph does not exist, return -1.

A subgraph is a graph whose vertices and edges are subsets of the original graph. The weight of a subgraph is the sum of weights of its constituent edges.

Example 1:

img

1
2
3
4
5
6
Input: n = 6, edges = [[0,2,2],[0,5,6],[1,0,3],[1,4,5],[2,1,1],[2,3,3],[2,3,4],[3,4,2],[4,5,1]], src1 = 0, src2 = 1, dest = 5
Output: 9
Explanation:
The above figure represents the input graph.
The blue edges represent one of the subgraphs that yield the optimal answer.
Note that the subgraph [[1,0,3],[0,5,6]] also yields the optimal answer. It is not possible to get a subgraph with less weight satisfying all the constraints.

Example 2:

img

1
2
3
4
5
Input: n = 3, edges = [[0,1,1],[2,1,1]], src1 = 0, src2 = 1, dest = 2
Output: -1
Explanation:
The above figure represents the input graph.
It can be seen that there does not exist any path from node 1 to node 2, hence there are no subgraphs satisfying all the constraints.

Constraints:

  • 3 <= n <= 105
  • 0 <= edges.length <= 105
  • edges[i].length == 3
  • 0 <= fromi, toi, src1, src2, dest <= n - 1
  • fromi != toi
  • src1, src2, and dest are pairwise distinct.
  • 1 <= weight[i] <= 105

Hard,图,我暂时没学过,暂且等学完算法导论

1
2
3
4
5
6
7
8
9
10
11
12
13
14
15
16
17
18
19
20
21
22
23
24
25
26
27
28
29
30
31
32
33
34
35
36
37
38
39
class Solution {
using pli = pair<long long, int>;
int n;
vector<vector<int>> e1, e2;
vector<vector<int>> v1, v2;
vector<long long> dijkstra(int S, vector<vector<int>> &e, vector<vector<int>> &v) {
vector<long long> d(n);
for (int i = 0; i < n; i++) d[i] = -1;
priority_queue<pli> q;
q.push(pli(0, S));
while (!q.empty()) {
pli p = q.top();
q.pop();
int sn = p.second;
long long val = -p.first;
if (d[sn] >= 0) continue;
d[sn] = val;
for (int i = 0; i < e[sn].size(); i++) q.push(pli(-val - v[sn][i], e[sn][i]));
}
return d;
}
public:
long long minimumWeight(int n, vector<vector<int>>& edges, int src1, int src2, int dest) {
this->n = n;
e1 = e2 = v1 = v2 = vector<vector<int>>(n);
for (auto &edge : edges) {
e1[edge[0]].push_back(edge[1]);
v1[edge[0]].push_back(edge[2]);
e2[edge[1]].push_back(edge[0]);
v2[edge[1]].push_back(edge[2]);
}
vector<long long> d1 = dijkstra(src1, e1, v1);
vector<long long> d2 = dijkstra(src2, e1, v1);
vector<long long> d3 = dijkstra(dest, e2, v2);
long long ans = 1e18;
for (int i = 0; i < n; i++) if (d1[i] >= 0 && d2[i] >= 0 && d3[i] >= 0) ans = min(ans, d1[i] + d2[i] + d3[i]);
return ans < 1e18 ? ans : -1;
}
};

Weekly Contest 285

最惨痛的一次,好难,没想到排名还正常

image-20220515221202759

2210. Count Hills and Valleys in an Array

You are given a 0-indexed integer array nums. An index i is part of a hill in nums if the closest non-equal neighbors of i are smaller than nums[i]. Similarly, an index i is part of a valley in nums if the closest non-equal neighbors of i are larger than nums[i]. Adjacent indices i and j are part of the same hill or valley if nums[i] == nums[j].

Note that for an index to be part of a hill or valley, it must have a non-equal neighbor on both the left and right of the index.

Return the number of hills and valleys in nums.

Example 1:

1
2
3
4
5
6
7
8
9
10
Input: nums = [2,4,1,1,6,5]
Output: 3
Explanation:
At index 0: There is no non-equal neighbor of 2 on the left, so index 0 is neither a hill nor a valley.
At index 1: The closest non-equal neighbors of 4 are 2 and 1. Since 4 > 2 and 4 > 1, index 1 is a hill.
At index 2: The closest non-equal neighbors of 1 are 4 and 6. Since 1 < 4 and 1 < 6, index 2 is a valley.
At index 3: The closest non-equal neighbors of 1 are 4 and 6. Since 1 < 4 and 1 < 6, index 3 is a valley, but note that it is part of the same valley as index 2.
At index 4: The closest non-equal neighbors of 6 are 1 and 5. Since 6 > 1 and 6 > 5, index 4 is a hill.
At index 5: There is no non-equal neighbor of 5 on the right, so index 5 is neither a hill nor a valley.
There are 3 hills and valleys so we return 3.

Example 2:

1
2
3
4
5
6
7
8
9
10
Input: nums = [6,6,5,5,4,1]
Output: 0
Explanation:
At index 0: There is no non-equal neighbor of 6 on the left, so index 0 is neither a hill nor a valley.
At index 1: There is no non-equal neighbor of 6 on the left, so index 1 is neither a hill nor a valley.
At index 2: The closest non-equal neighbors of 5 are 6 and 4. Since 5 < 6 and 5 > 4, index 2 is neither a hill nor a valley.
At index 3: The closest non-equal neighbors of 5 are 6 and 4. Since 5 < 6 and 5 > 4, index 3 is neither a hill nor a valley.
At index 4: The closest non-equal neighbors of 4 are 5 and 1. Since 4 < 5 and 4 > 1, index 4 is neither a hill nor a valley.
At index 5: There is no non-equal neighbor of 1 on the right, so index 5 is neither a hill nor a valley.
There are 0 hills and valleys so we return 0.

Constraints:

  • 3 <= nums.length <= 100
  • 1 <= nums[i] <= 100

Easy,使用标志位记录前序数是否增序

1
2
3
4
5
6
7
8
9
10
11
12
13
14
15
16
17
18
19
20
21
class Solution {
public:
int countHillValley(vector<int>& nums) {
int isAscend = 0;
int res = 0;
for (int i = 1; i < nums.size(); i++) {
if (nums[i] > nums[i - 1]) {
if (isAscend == -1) {
res++;
}
isAscend = 1;
} else if (nums[i] < nums[i - 1]) {
if (isAscend == 1) {
res++;
}
isAscend = -1;
}
}
return res;
}
};

Failed: 2211. Count Collisions on a Road

There are n cars on an infinitely long road. The cars are numbered from 0 to n - 1 from left to right and each car is present at a unique point.

You are given a 0-indexed string directions of length n. directions[i] can be either 'L', 'R', or 'S' denoting whether the ith car is moving towards the left, towards the right, or staying at its current point respectively. Each moving car has the same speed.

The number of collisions can be calculated as follows:

  • When two cars moving in opposite directions collide with each other, the number of collisions increases by 2.
  • When a moving car collides with a stationary car, the number of collisions increases by 1.

After a collision, the cars involved can no longer move and will stay at the point where they collided. Other than that, cars cannot change their state or direction of motion.

Return the total number of collisions that will happen on the road.

Example 1:

1
2
3
4
5
6
7
8
9
Input: directions = "RLRSLL"
Output: 5
Explanation:
The collisions that will happen on the road are:
- Cars 0 and 1 will collide with each other. Since they are moving in opposite directions, the number of collisions becomes 0 + 2 = 2.
- Cars 2 and 3 will collide with each other. Since car 3 is stationary, the number of collisions becomes 2 + 1 = 3.
- Cars 3 and 4 will collide with each other. Since car 3 is stationary, the number of collisions becomes 3 + 1 = 4.
- Cars 4 and 5 will collide with each other. After car 4 collides with car 3, it will stay at the point of collision and get hit by car 5. The number of collisions becomes 4 + 1 = 5.
Thus, the total number of collisions that will happen on the road is 5.

Example 2:

1
2
3
4
Input: directions = "LLRR"
Output: 0
Explanation:
No cars will collide with each other. Thus, the total number of collisions that will happen on the road is 0.

Constraints:

  • 1 <= directions.length <= 105
  • directions[i] is either 'L', 'R', or 'S'.

Medium,使用栈,细节比较烦没有写出来

1
2
3
4
5
6
7
8
9
10
11
12
13
14
15
16
17
18
19
20
21
22
23
24
25
26
27
28
29
30
31
class Solution {
public:
int countCollisions(string directions) {
int res = 0;
stack<char> stk;
stk.push(directions[0]);
for (int i = 1; i < directions.length(); i++) {
char c = directions[i];
if (!stk.empty() && stk.top() == 'R' && c == 'L') {
res += 2;
stk.pop();
stk.push('S');
} else if(!stk.empty() && stk.top() == 'R' && c == 'S') {
res++;
stk.pop(); // same here
stk.push('S');
} else if(!stk.empty() && stk.top() == 'S' && c == 'L') // third case
res++;
else
stk.push(c); // if no condition is matched push the current element;
}
// handling 4th case
while(!stk.empty() && stk.top() == 'R') // remove the leading R's
stk.pop();
while(!stk.empty()) {
if (stk.top() == 'R') res++;
stk.pop();
}
return res;
}
};

也可以简化

1
2
3
4
5
6
7
8
9
10
11
12
13
14
15
16
17
class Solution {
public:
int countCollisions(string s) {
while(!s.empty() && s.back() == 'R') {
s.pop_back();
}
reverse(s.begin(), s.end());
while (!s.empty() && s.back() == 'L') {
s.pop_back();
}
int ans = (int)s.size();
for(auto &i : s) {
ans -= i=='S';
}
return ans;
}
};

Failed: 2212. Maximum Points in an Archery Competition

Alice and Bob are opponents in an archery competition. The competition has set the following rules:

  1. Alice first shoots numArrows arrows and then Bob shoots numArrows arrows.
  2. The points are then calculated as follows:
    1. The target has integer scoring sections ranging from 0 to 11 inclusive.
    2. For each section of the target with score k (in between 0 to 11), say Alice and Bob have shot ak and bk arrows on that section respectively. If ak >= bk, then Alice takes k points. If ak < bk, then Bob takes k points.
    3. However, if ak == bk == 0, then nobody takes k points.
  • For example, if Alice and Bob both shot 2 arrows on the section with score 11, then Alice takes 11 points. On the other hand, if Alice shot 0 arrows on the section with score 11 and Bob shot 2 arrows on that same section, then Bob takes 11 points.

You are given the integer numArrows and an integer array aliceArrows of size 12, which represents the number of arrows Alice shot on each scoring section from 0 to 11. Now, Bob wants to maximize the total number of points he can obtain.

Return the array bobArrows which represents the number of arrows Bob shot on each scoring section from 0 to 11. The sum of the values in bobArrows should equal numArrows.

If there are multiple ways for Bob to earn the maximum total points, return any one of them.

Example 1:

img

1
2
3
4
5
Input: numArrows = 9, aliceArrows = [1,1,0,1,0,0,2,1,0,1,2,0]
Output: [0,0,0,0,1,1,0,0,1,2,3,1]
Explanation: The table above shows how the competition is scored.
Bob earns a total point of 4 + 5 + 8 + 9 + 10 + 11 = 47.
It can be shown that Bob cannot obtain a score higher than 47 points.

Example 2:

img

1
2
3
4
5
Input: numArrows = 3, aliceArrows = [0,0,1,0,0,0,0,0,0,0,0,2]
Output: [0,0,0,0,0,0,0,0,1,1,1,0]
Explanation: The table above shows how the competition is scored.
Bob earns a total point of 8 + 9 + 10 = 27.
It can be shown that Bob cannot obtain a score higher than 27 points.

Constraints:

  • 1 <= numArrows <= 105
  • aliceArrows.length == bobArrows.length == 12
  • 0 <= aliceArrows[i], bobArrows[i] <= numArrows
  • sum(aliceArrows[i]) == numArrows

Medium,回溯

1
2
3
4
5
6
7
8
9
10
11
12
13
14
15
16
17
18
19
20
21
22
23
24
25
26
27
28
29
30
31
32
class Solution {
public:
int maxScore = INT_MIN;
vector<int> ans;
void helper(vector<int>& bobArrows, int index, vector<int>& aliceArrows, int remainArrows, int score) {
if (index < 0 || remainArrows <= 0) {
if (score > maxScore) {
ans = bobArrows;
maxScore = score;
}
return;
}
helper(bobArrows, index - 1, aliceArrows, remainArrows, score);
if (remainArrows > aliceArrows[index]) {
bobArrows[index] = aliceArrows[index] + 1;
remainArrows -= bobArrows[index];
score += index;
helper(bobArrows, index - 1, aliceArrows, remainArrows, score);
bobArrows[index] = 0;
}
}
vector<int> maximumBobPoints(int numArrows, vector<int>& aliceArrows) {
vector<int> bobArrows(12, 0);
helper(bobArrows, 11, aliceArrows, numArrows, 0);
int arrowUsed = 0;
for (int i = 1; i < 12; i++) {
arrowUsed += ans[i];
}
ans[11] += (numArrows - arrowUsed);
return ans;
}
};

Failed: 2213. Longest Substring of One Repeating Character

You are given a 0-indexed string s. You are also given a 0-indexed string queryCharacters of length k and a 0-indexed array of integer indices queryIndices of length k, both of which are used to describe k queries.

The ith query updates the character in s at index queryIndices[i] to the character queryCharacters[i].

Return an array lengths of length k where lengths[i] is the length of the longest substring of s consisting of only one repeating character after the ith query is performed.

Example 1:

1
2
3
4
5
6
7
8
Input: s = "babacc", queryCharacters = "bcb", queryIndices = [1,3,3]
Output: [3,3,4]
Explanation:
- 1st query updates s = "bbbacc". The longest substring consisting of one repeating character is "bbb" with length 3.
- 2nd query updates s = "bbbccc".
The longest substring consisting of one repeating character can be "bbb" or "ccc" with length 3.
- 3rd query updates s = "bbbbcc". The longest substring consisting of one repeating character is "bbbb" with length 4.
Thus, we return [3,3,4].

Example 2:

1
2
3
4
5
6
Input: s = "abyzz", queryCharacters = "aa", queryIndices = [2,1]
Output: [2,3]
Explanation:
- 1st query updates s = "abazz". The longest substring consisting of one repeating character is "zz" with length 2.
- 2nd query updates s = "aaazz". The longest substring consisting of one repeating character is "aaa" with length 3.
Thus, we return [2,3].

Constraints:

  • 1 <= s.length <= 105
  • s consists of lowercase English letters.
  • k == queryCharacters.length == queryIndices.length
  • 1 <= k <= 105
  • queryCharacters consists of lowercase English letters.
  • 0 <= queryIndices[i] < s.length

Hard,线段树,暂时不会,抽空学完那本厚厚的算法导论吧。

Weekly Contest 286

image-20220515221233910

2215. Find the Difference of Two Arrays

Given two 0-indexed integer arrays nums1 and nums2, return a list answer of size 2 where:

  • answer[0] is a list of all distinct integers in nums1 which are not present in nums2.
  • answer[1] is a list of all distinct integers in nums2 which are not present in nums1.

Note that the integers in the lists may be returned in any order.

Example 1:

1
2
3
4
5
Input: nums1 = [1,2,3], nums2 = [2,4,6]
Output: [[1,3],[4,6]]
Explanation:
For nums1, nums1[1] = 2 is present at index 0 of nums2, whereas nums1[0] = 1 and nums1[2] = 3 are not present in nums2. Therefore, answer[0] = [1,3].
For nums2, nums2[0] = 2 is present at index 1 of nums1, whereas nums2[1] = 4 and nums2[2] = 6 are not present in nums2. Therefore, answer[1] = [4,6].

Example 2:

1
2
3
4
5
Input: nums1 = [1,2,3,3], nums2 = [1,1,2,2]
Output: [[3],[]]
Explanation:
For nums1, nums1[2] and nums1[3] are not present in nums2. Since nums1[2] == nums1[3], their value is only included once and answer[0] = [3].
Every integer in nums2 is present in nums1. Therefore, answer[1] = [].

Constraints:

  • 1 <= nums1.length, nums2.length <= 1000
  • -1000 <= nums1[i], nums2[i] <= 1000

Easy,哈希保存数据

1
2
3
4
5
6
7
8
9
10
11
12
13
14
15
16
17
18
19
20
21
22
23
24
25
26
class Solution {
public:
vector<vector<int>> findDifference(vector<int>& nums1, vector<int>& nums2) {
unordered_map<int, int> counted1;
vector<int> ans1;
vector<int> ans2;
for (int num: nums1) {
counted1[num] = 1;
}
for (int num: nums2) {
if (counted1[num]) {
counted1[num] = 2;
} else {
counted1[num] = 2;
ans2.push_back(num);
}
}
for (int num: nums1) {
if (counted1[num] == 1) {
counted1[num] = 2;
ans1.push_back(num);
}
}
return {ans1, ans2};
}
};

2216. Minimum Deletions to Make Array Beautiful

You are given a 0-indexed integer array nums. The array nums is beautiful if:

  • nums.length is even.
  • nums[i] != nums[i + 1] for all i % 2 == 0.

Note that an empty array is considered beautiful.

You can delete any number of elements from nums. When you delete an element, all the elements to the right of the deleted element will be shifted one unit to the left to fill the gap created and all the elements to the left of the deleted element will remain unchanged.

Return the minimum number of elements to delete from nums to make it beautiful.

Example 1:

1
2
3
Input: nums = [1,1,2,3,5]
Output: 1
Explanation: You can delete either nums[0] or nums[1] to make nums = [1,2,3,5] which is beautiful. It can be proven you need at least 1 deletion to make nums beautiful.

Example 2:

1
2
3
Input: nums = [1,1,2,2,3,3]
Output: 2
Explanation: You can delete nums[0] and nums[5] to make nums = [1,2,2,3] which is beautiful. It can be proven you need at least 2 deletions to make nums beautiful.

Constraints:

  • 1 <= nums.length <= 105
  • 0 <= nums[i] <= 105

Medium,依次遍历,连续相同的数最多保存2个,且满足第一个数的位置为奇数

1
2
3
4
5
6
7
8
9
10
11
12
13
14
15
16
17
18
19
20
21
22
class Solution {
public:
int minDeletion(vector<int>& nums) {
int len = 0;
int i = 0;
while (i < nums.size()) {
int j = i;
while (j < nums.size() && nums[i] == nums[j]) {
j++;
}
len++;
if ((j > i + 1) && (len % 2 == 0)) {
len++;
}
i = j;
}
if (len % 2 == 1) {
len--;
}
return nums.size() - len;
}
};

Failed: 2217. Find Palindrome With Fixed Length

Given an integer array queries and a positive integer intLength, return an array answer where answer[i] is either the queries[i]th smallest positive palindrome of length intLength or -1 if no such palindrome exists.

A palindrome is a number that reads the same backwards and forwards. Palindromes cannot have leading zeros.

Example 1:

1
2
3
4
5
6
Input: queries = [1,2,3,4,5,90], intLength = 3
Output: [101,111,121,131,141,999]
Explanation:
The first few palindromes of length 3 are:
101, 111, 121, 131, 141, 151, 161, 171, 181, 191, 202, ...
The 90th palindrome of length 3 is 999.

Example 2:

1
2
3
4
5
Input: queries = [2,4,6], intLength = 4
Output: [1111,1331,1551]
Explanation:
The first six palindromes of length 4 are:
1001, 1111, 1221, 1331, 1441, and 1551.

Constraints:

  • 1 <= queries.length <= 5 * 104
  • 1 <= queries[i] <= 109
  • 1 <= intLength <= 15

Medium,将每个回文数分为前半部分和后半部分,翻折得到所求结果

1
2
3
4
5
6
7
8
9
10
11
12
13
14
15
16
17
18
19
20
21
22
23
24
25
26
27
28
29
30
class Solution {
public:
vector<long long> kthPalindrome(vector<int>& queries, int intLength) {
vector<long long> res;
long long base = 1;
int half = (intLength + 1) / 2;
for (int i = 0; i < half - 1; i++) {
base *= 10;
}
for (int i = 0; i < queries.size(); i++) {
res.push_back(countPalindrome(queries[i], base, intLength));
}
return res;
}
long long countPalindrome(int k, long long base,int intLength) {
if (base + k - 1 >= base * 10) return -1;
base += (k - 1);
long long res = base;
if (intLength % 2 == 1) {
base /= 10;
}
int half = intLength / 2;
for (int i = 0; i < half; i++) {
res *= 10;
res += base % 10;
base /= 10;
}
return res;
}
};

Failed: 2218. Maximum Value of K Coins From Piles

There are n piles of coins on a table. Each pile consists of a positive number of coins of assorted denominations.

In one move, you can choose any coin on top of any pile, remove it, and add it to your wallet.

Given a list piles, where piles[i] is a list of integers denoting the composition of the ith pile from top to bottom, and a positive integer k, return the maximum total value of coins you can have in your wallet if you choose exactly k coins optimally.

Example 1:

img

1
2
3
4
5
Input: piles = [[1,100,3],[7,8,9]], k = 2
Output: 101
Explanation:
The above diagram shows the different ways we can choose k coins.
The maximum total we can obtain is 101.

Example 2:

1
2
3
4
Input: piles = [[100],[100],[100],[100],[100],[100],[1,1,1,1,1,1,700]], k = 7
Output: 706
Explanation:
The maximum total can be obtained if we choose all coins from the last pile.

Constraints:

  • n == piles.length
  • 1 <= n <= 1000
  • 1 <= piles[i][j] <= 105
  • 1 <= k <= sum(piles[i].length) <= 2000

Hard,记忆化深度搜索

1
2
3
4
5
6
7
8
9
10
11
12
13
14
15
16
17
18
19
class Solution {
public:
int maxValueOfCoins(vector<vector<int>>& piles, int k) {
int n = piles.size();
vector<vector<int>> dp(n + 1, vector<int>(k + 1, 0));
function<int(int, int)> dfs = [&](int i, int k) {
if (dp[i][k] > 0) return dp[i][k];
if (i == n || k == 0) return 0;
int res = dfs(i + 1, k), cur = 0;
for (int j = 0; j < piles[i].size() && j < k; j++) {
cur += piles[i][j];
res = max(res, dfs(i + 1, k - j - 1) + cur);
}
dp[i][k] = res;
return res;
};
return dfs(0, k);
}
};

Weekly Contest 287

image-20220515212952499

Failed: 2224. Minimum Number of Operations to Convert Time

You are given two strings current and correct representing two 24-hour times.

24-hour times are formatted as "HH:MM", where HH is between 00 and 23, and MM is between 00 and 59. The earliest 24-hour time is 00:00, and the latest is 23:59.

In one operation you can increase the time current by 1, 5, 15, or 60 minutes. You can perform this operation any number of times.

Return the minimum number of operations needed to convert current to correct.

Example 1:

1
2
3
4
5
6
7
8
Input: current = "02:30", correct = "04:35"
Output: 3
Explanation:
We can convert current to correct in 3 operations as follows:
- Add 60 minutes to current. current becomes "03:30".
- Add 60 minutes to current. current becomes "04:30".
- Add 5 minutes to current. current becomes "04:35".
It can be proven that it is not possible to convert current to correct in fewer than 3 operations.

Example 2:

1
2
3
Input: current = "11:00", correct = "11:01"
Output: 1
Explanation: We only have to add one minute to current, so the minimum number of operations needed is 1.

Constraints:

  • current and correct are in the format "HH:MM"
  • current <= correct

Easy,很简单的题,想复杂了,总有corner case

1
2
3
4
5
6
7
8
9
10
11
12
13
14
class Solution {
int getTime(string &s) {
return stoi(s.substr(0, 2)) * 60 + stoi(s.substr(3));
}
public:
int convertTime(string current, string correct) {
int diff = getTime(correct) - getTime(current), ops[4] = {60, 15, 5, 1}, ans = 0;
for (int op : ops) {
ans += diff / op;
diff %= op;
}
return ans;
}
};

2225. Find Players With Zero or One Losses

You are given an integer array matches where matches[i] = [winneri, loseri] indicates that the player winneri defeated player loseri in a match.

Return a list answer of size 2 where:

  • answer[0] is a list of all players that have not lost any matches.
  • answer[1] is a list of all players that have lost exactly one match.

The values in the two lists should be returned in increasing order.

Note:

  • You should only consider the players that have played at least one match.
  • The testcases will be generated such that no two matches will have the same outcome.

Example 1:

1
2
3
4
5
6
7
Input: matches = [[1,3],[2,3],[3,6],[5,6],[5,7],[4,5],[4,8],[4,9],[10,4],[10,9]]
Output: [[1,2,10],[4,5,7,8]]
Explanation:
Players 1, 2, and 10 have not lost any matches.
Players 4, 5, 7, and 8 each have lost one match.
Players 3, 6, and 9 each have lost two matches.
Thus, answer[0] = [1,2,10] and answer[1] = [4,5,7,8].

Example 2:

1
2
3
4
5
6
Input: matches = [[2,3],[1,3],[5,4],[6,4]]
Output: [[1,2,5,6],[]]
Explanation:
Players 1, 2, 5, and 6 have not lost any matches.
Players 3 and 4 each have lost two matches.
Thus, answer[0] = [1,2,5,6] and answer[1] = [].

Constraints:

  • 1 <= matches.length <= 105
  • matches[i].length == 2
  • 1 <= winneri, loseri <= 105
  • winneri != loseri
  • All matches[i] are unique.

Medium,分别记录胜者和负者

1
2
3
4
5
6
7
8
9
10
11
12
13
14
15
16
17
18
19
20
21
22
23
24
25
26
27
class Solution {
public:
vector<vector<int>> findWinners(vector<vector<int>>& matches) {
unordered_map<int, int> countLoss;
for (auto match: matches) {
if (countLoss[match[1]]) {
countLoss[match[1]]++;
} else {
countLoss[match[1]] = 1;
}
}
unordered_set<int> vic;
vector<int> ans1, ans2;
for (auto match: matches) {
if (!countLoss[match[0]]) {
vic.insert(match[0]);
}
if (countLoss[match[1]] == 1) {
ans2.push_back(match[1]);
}
}
ans1.insert(ans1.end(), vic.begin(), vic.end());
sort(ans1.begin(), ans1.end());
sort(ans2.begin(), ans2.end());
return {ans1, ans2};
}
};

2226. Find Players With Zero or One Losses

You are given a 0-indexed integer array candies. Each element in the array denotes a pile of candies of size candies[i]. You can divide each pile into any number of sub piles, but you cannot merge two piles together.

You are also given an integer k. You should allocate piles of candies to k children such that each child gets the same number of candies. Each child can take at most one pile of candies and some piles of candies may go unused.

Return the maximum number of candies each child can get.

Example 1:

1
2
3
Input: candies = [5,8,6], k = 3
Output: 5
Explanation: We can divide candies[1] into 2 piles of size 5 and 3, and candies[2] into 2 piles of size 5 and 1. We now have five piles of candies of sizes 5, 5, 3, 5, and 1. We can allocate the 3 piles of size 5 to 3 children. It can be proven that each child cannot receive more than 5 candies.

Example 2:

1
2
3
Input: candies = [2,5], k = 11
Output: 0
Explanation: There are 11 children but only 7 candies in total, so it is impossible to ensure each child receives at least one candy. Thus, each child gets no candy and the answer is 0.

Constraints:

  • 1 <= candies.length <= 105
  • 1 <= candies[i] <= 107
  • 1 <= k <= 1012

Medium,贪心+二分

1
2
3
4
5
6
7
8
9
10
11
12
13
14
15
16
17
18
19
20
21
22
23
24
25
26
class Solution {
public:
int maximumCandies(vector<int>& candies, long long k) {
int left = 1, right = candies[0];
for (int i = 1; i < candies.size(); i++) {
right = max(right, candies[i]);
}
int ans = 0;
while (left <= right) {
int mid = left + (right - left) / 2;
long long count = candies[0] / mid;
for (int i = 1; i < candies.size(); i++) {
count += candies[i] / mid;
if (count >= k) break;
}
if (count < k) {
right = mid - 1;
} else {
ans = max(ans, mid);
left = mid + 1;
}

}
return ans;
}
};

Failed: 2227. Encrypt and Decrypt Strings

You are given a character array keys containing unique characters and a string array values containing strings of length 2. You are also given another string array dictionary that contains all permitted original strings after decryption. You should implement a data structure that can encrypt or decrypt a 0-indexed string.

A string is encrypted with the following process:

  1. For each character c in the string, we find the index i satisfying keys[i] == c in keys.
  2. Replace c with values[i] in the string.

Note that in case a character of the string is not present in keys, the encryption process cannot be carried out, and an empty string "" is returned.

A string is decrypted with the following process:

  1. For each substring s of length 2 occurring at an even index in the string, we find an i such that values[i] == s. If there are multiple valid i, we choose any one of them. This means a string could have multiple possible strings it can decrypt to.
  2. Replace s with keys[i] in the string.

Implement the Encrypter class:

  • Encrypter(char[] keys, String[] values, String[] dictionary) Initializes the Encrypter class with keys, values, and dictionary.
  • String encrypt(String word1) Encrypts word1 with the encryption process described above and returns the encrypted string.
  • int decrypt(String word2) Returns the number of possible strings word2 could decrypt to that also appear in dictionary.

Example 1:

1
2
3
4
5
6
7
8
9
10
11
12
13
14
Input
["Encrypter", "encrypt", "decrypt"]
[[['a', 'b', 'c', 'd'], ["ei", "zf", "ei", "am"], ["abcd", "acbd", "adbc", "badc", "dacb", "cadb", "cbda", "abad"]], ["abcd"], ["eizfeiam"]]
Output
[null, "eizfeiam", 2]

Explanation
Encrypter encrypter = new Encrypter([['a', 'b', 'c', 'd'], ["ei", "zf", "ei", "am"], ["abcd", "acbd", "adbc", "badc", "dacb", "cadb", "cbda", "abad"]);
encrypter.encrypt("abcd"); // return "eizfeiam".
// 'a' maps to "ei", 'b' maps to "zf", 'c' maps to "ei", and 'd' maps to "am".
encrypter.decrypt("eizfeiam"); // return 2.
// "ei" can map to 'a' or 'c', "zf" maps to 'b', and "am" maps to 'd'.
// Thus, the possible strings after decryption are "abad", "cbad", "abcd", and "cbcd".
// 2 of those strings, "abad" and "abcd", appear in dictionary, so the answer is 2.

Constraints:

  • 1 <= keys.length == values.length <= 26
  • values[i].length == 2
  • 1 <= dictionary.length <= 100
  • 1 <= dictionary[i].length <= 100
  • All keys[i] and dictionary[i] are unique.
  • 1 <= word1.length <= 2000
  • 1 <= word2.length <= 200
  • All word1[i] appear in keys.
  • word2.length is even.
  • keys, values[i], dictionary[i], word1, and word2 only contain lowercase English letters.
  • At most 200 calls will be made to encrypt and decrypt in total.

Hard,愚人节礼物,保存每个解码即可

1
2
3
4
5
6
7
8
9
10
11
12
13
14
15
16
17
18
19
20
21
22
23
24
25
26
27
28
29
30
31
32
33
34
class Encrypter {
public:
array<string, 26> mp;
unordered_map<string, int> cnt;
Encrypter(vector<char>& keys, vector<string>& values, vector<string>& dictionary) {
for (int i = 0; i < keys.size(); i++) {
mp[keys[i] - 'a'] = values[i];
}
for (string word: dictionary) {
cnt[encrypt(word)]++;
}
}

string encrypt(string word1) {
string res;
for (char ch : word1) {
auto &s = mp[ch - 'a'];
if (s == "") return "";
res += s;
}
return res;
}

int decrypt(string word2) {
return cnt.count(word2) ? cnt[word2] : 0;
}
};

/**
* Your Encrypter object will be instantiated and called as such:
* Encrypter* obj = new Encrypter(keys, values, dictionary);
* string param_1 = obj->encrypt(word1);
* int param_2 = obj->decrypt(word2);
*/

Weekly Contest 288

image-20220515205618228

2231. Largest Number After Digit Swaps by Parity

You are given a positive integer num. You may swap any two digits of num that have the same parity (i.e. both odd digits or both even digits).

Return the largest possible value of num after any number of swaps.

Example 1:

1
2
3
4
5
6
Input: num = 1234
Output: 3412
Explanation: Swap the digit 3 with the digit 1, this results in the number 3214.
Swap the digit 2 with the digit 4, this results in the number 3412.
Note that there may be other sequences of swaps but it can be shown that 3412 is the largest possible number.
Also note that we may not swap the digit 4 with the digit 1 since they are of different parities.

Example 2:

1
2
3
4
5
Input: num = 65875
Output: 87655
Explanation: Swap the digit 8 with the digit 6, this results in the number 85675.
Swap the first digit 5 with the digit 7, this results in the number 87655.
Note that there may be other sequences of swaps but it can be shown that 87655 is the largest possible number.

Constraints:

  • 1 <= num <= 109

Easy,奇偶数位分别排序

1
2
3
4
5
6
7
8
9
10
11
12
13
14
15
16
17
18
19
20
21
22
23
24
25
26
27
28
29
30
31
32
33
34
35
36
37
38
39
class Solution {
public:
int largestInteger(int num) {
vector<int> odd, even;
int temp = num;
int base = 0;
while (temp > 0) {
int cur = temp % 10;
if (cur % 2 == 0) {
even.push_back(cur);
} else {
odd.push_back(cur);
}
if (base == 0) {
base = 1;
} else {
base = base * 10;
}
temp = temp / 10;
}
sort(odd.begin(), odd.end());
sort(even.begin(), even.end());
int res = 0;
while (base > 0) {
res = res * 10;
int cur = num / base;
if (cur % 2 == 0) {
res += even.back();
even.pop_back();
} else {
res += odd.back();
odd.pop_back();
}
num = num % base;
base = base / 10;
}
return res;
}
};

Failed: 2232. Minimize Result by Adding Parentheses to Expression

You are given a 0-indexed string expression of the form "<num1>+<num2>" where <num1> and <num2> represent positive integers.

Add a pair of parentheses to expression such that after the addition of parentheses, expression is a valid mathematical expression and evaluates to the smallest possible value. The left parenthesis must be added to the left of '+' and the right parenthesis must be added to the right of '+'.

Return expression after adding a pair of parentheses such that expression evaluates to the smallest possible value. If there are multiple answers that yield the same result, return any of them.

The input has been generated such that the original value of expression, and the value of expression after adding any pair of parentheses that meets the requirements fits within a signed 32-bit integer.

Example 1:

1
2
3
4
5
Input: expression = "247+38"
Output: "2(47+38)"
Explanation: The expression evaluates to 2 * (47 + 38) = 2 * 85 = 170.
Note that "2(4)7+38" is invalid because the right parenthesis must be to the right of the '+'.
It can be shown that 170 is the smallest possible value.

Example 2:

1
2
3
Input: expression = "12+34"
Output: "1(2+3)4"
Explanation: The expression evaluates to 1 * (2 + 3) * 4 = 1 * 5 * 4 = 20.

Example 3:

1
2
3
Input: expression = "999+999"
Output: "(999+999)"
Explanation: The expression evaluates to 999 + 999 = 1998.

Constraints:

  • 3 <= expression.length <= 10
  • expression consists of digits from '1' to '9' and '+'.
  • expression starts and ends with digits.
  • expression contains exactly one '+'.
  • The original value of expression, and the value of expression after adding any pair of parentheses that meets the requirements fits within a signed 32-bit integer.

Medium,遍历各种括号可能位置,找最大值

1
2
3
4
5
6
7
8
9
10
11
12
13
14
15
16
17
18
19
20
21
22
23
24
25
26
27
28
29
30
31
32
33
34
35
36
37
38
39
40
41
42
class Solution {
public:
string minimizeResult(string expression) {
int index;
int n = expression.size();
for (int i = 0; i < n; i++) {
if (expression[i]=='+') {
index = i;
break;
}
}

string num1 = expression.substr(0, index);
string num2 = expression.substr(index + 1, n - index - 1);
int p1, p2;
int min_res = INT_MAX;
string ans;
for (int b1 = 0; b1 < num1.size(); b1++) {
for (int b2 = 0; b2 < num2.size(); b2++) {
string s1 = num1.substr(0, b1);
string s2 = num2.substr(b2 + 1, num2.size() - b2 + 1);
if (s1.empty()) {
p1 = 1;
} else {
p1 = stoi(s1);
}
if (s2.empty()) {
p2 = 1;
} else {
p2 = stoi(s2);
}
int sum = stoi(num1.substr(b1, num1.size() - b1 + 2)) + stoi(num2.substr(0, b2 + 1));
int eval = p1 * sum * p2;
if (eval < min_res) {
min_res = eval;
ans = s1 + "(" + num1.substr(b1, num1.size() - b1 + 2) + "+" + num2.substr(0, b2 + 1) + ")" + s2;
}
}
}
return ans;
}
};

2233. Maximum Product After K Increments

You are given an array of non-negative integers nums and an integer k. In one operation, you may choose any element from nums and increment it by 1.

Return the maximum product of nums after at most k operations. Since the answer may be very large, return it modulo 109 + 7. Note that you should maximize the product before taking the modulo.

Example 1:

1
2
3
4
5
6
Input: nums = [0,4], k = 5
Output: 20
Explanation: Increment the first number 5 times.
Now nums = [5, 4], with a product of 5 * 4 = 20.
It can be shown that 20 is maximum product possible, so we return 20.
Note that there may be other ways to increment nums to have the maximum product.

Example 2:

1
2
3
4
5
6
Input: nums = [6,3,3,2], k = 2
Output: 216
Explanation: Increment the second number 1 time and increment the fourth number 1 time.
Now nums = [6, 4, 3, 3], with a product of 6 * 4 * 3 * 3 = 216.
It can be shown that 216 is maximum product possible, so we return 216.
Note that there may be other ways to increment nums to have the maximum product.

Constraints:

  • 1 <= nums.length, k <= 105
  • 0 <= nums[i] <= 106

Medium,找到前k大的数

1
2
3
4
5
6
7
8
9
10
11
12
13
14
15
16
17
18
class Solution {
public:
int maximumProduct(vector<int>& nums, int k) {
long long mod = 1e9 + 7;
priority_queue<int, vector<int>, greater<int>> pq(nums.begin(), nums.end());
for (int i = 0; i < k; i++) {
int min_num = pq.top();
pq.pop();
pq.push(min_num + 1);
}
long long res = 1;
while (!pq.empty()) {
res = res * pq.top() % mod;
pq.pop();
}
return res;
}
};

Failed: 2234. Maximum Total Beauty of the Gardens

Alice is a caretaker of n gardens and she wants to plant flowers to maximize the total beauty of all her gardens.

You are given a 0-indexed integer array flowers of size n, where flowers[i] is the number of flowers already planted in the ith garden. Flowers that are already planted cannot be removed. You are then given another integer newFlowers, which is the maximum number of flowers that Alice can additionally plant. You are also given the integers target, full, and partial.

A garden is considered complete if it has at least target flowers. The total beauty of the gardens is then determined as the sum of the following:

  • The number of complete gardens multiplied by full.
  • The minimum number of flowers in any of the incomplete gardens multiplied by partial. If there are no incomplete gardens, then this value will be 0.

Return the maximum total beauty that Alice can obtain after planting at most newFlowers flowers.

Example 1:

1
2
3
4
5
6
7
8
9
10
11
12
Input: flowers = [1,3,1,1], newFlowers = 7, target = 6, full = 12, partial = 1
Output: 14
Explanation: Alice can plant
- 2 flowers in the 0th garden
- 3 flowers in the 1st garden
- 1 flower in the 2nd garden
- 1 flower in the 3rd garden
The gardens will then be [3,6,2,2]. She planted a total of 2 + 3 + 1 + 1 = 7 flowers.
There is 1 garden that is complete.
The minimum number of flowers in the incomplete gardens is 2.
Thus, the total beauty is 1 * 12 + 2 * 1 = 12 + 2 = 14.
No other way of planting flowers can obtain a total beauty higher than 14.

Example 2:

1
2
3
4
5
6
7
8
9
10
11
12
13
Input: flowers = [2,4,5,3], newFlowers = 10, target = 5, full = 2, partial = 6
Output: 30
Explanation: Alice can plant
- 3 flowers in the 0th garden
- 0 flowers in the 1st garden
- 0 flowers in the 2nd garden
- 2 flowers in the 3rd garden
The gardens will then be [5,4,5,5]. She planted a total of 3 + 0 + 0 + 2 = 5 flowers.
There are 3 gardens that are complete.
The minimum number of flowers in the incomplete gardens is 4.
Thus, the total beauty is 3 * 2 + 4 * 6 = 6 + 24 = 30.
No other way of planting flowers can obtain a total beauty higher than 30.
Note that Alice could make all the gardens complete but in this case, she would obtain a lower total beauty.

Constraints:

  • 1 <= flowers.length <= 105
  • 1 <= flowers[i], target <= 105
  • 1 <= newFlowers <= 1010
  • 1 <= full, partial <= 105

Hard,二分查找。

1
2
3
4
5
6
7
8
9
10
11
12
13
14
15
16
17
18
19
20
21
22
23
24
25
26
27
28
29
30
31
32
33
34
35
36
37
38
39
40
41
42
43
44
class Solution {
public:
long long maximumBeauty(vector<int>& flowers, long long newFlowers, int target, int full, int partial) {
sort(flowers.begin(), flowers.end());
int full_cnt = 0;
for (int i = flowers.size() - 1; i >= 0; i--) {
if (flowers[i] < target) break;
full_cnt++;
}
int n = flowers.size() - full_cnt;
if (n == 0) return (long long)full_cnt * (long long)full;
vector<long long> fill_up(n, 0), fill_target(n, 0);
// fill_up: flowers needed to get min of flowers to flowers[i]
for (int i = 1; i < n; i++) {
fill_up[i] = (flowers[i] - flowers[i - 1]) * (long long)i + fill_up[i - 1];
}
// fill_target[i] fill flowers[i] to flowers[n - 1] to target level
fill_target[n - 1] = (long long)target - flowers[n - 1];
for (int i = n - 2; i >= 0; i--) {
fill_target[i] = fill_target[i + 1] + (long long)(target - flowers[i]);
}
long long res = 0;
for (int num_fill = 0; num_fill <= n; num_fill++) {
long long m = 0;
long long rm = newFlowers;
if (num_fill != 0) {
rm -= fill_target[n - num_fill];
}
if (rm < 0) break;
if (num_fill != n) {
auto ptr = upper_bound(fill_up.begin(), fill_up.end(), rm);
// can get min to flowers[idx-1] level, but not flowers[idx] level
int idx = ptr - fill_up.begin();
if(idx >= n - num_fill) idx = n - num_fill;
m = flowers[idx - 1];
m += (rm - fill_up[idx - 1]) / idx;
m = min(m, (long long)target - 1);
}
long long tmp = m * (long long) partial + (full_cnt + num_fill) * (long long) full;
res = max(tmp, res);
}
return res;
}
};

Weekly Contest 289

image-20220515163243533

2243. Calculate Digit Sum of a String

You are given a string s consisting of digits and an integer k.

A round can be completed if the length of s is greater than k. In one round, do the following:

  1. Divide s into consecutive groups of size k such that the first k characters are in the first group, the next k characters are in the second group, and so on. Note that the size of the last group can be smaller than k.
  2. Replace each group of s with a string representing the sum of all its digits. For example, "346" is replaced with "13" because 3 + 4 + 6 = 13.
  3. Merge consecutive groups together to form a new string. If the length of the string is greater than k, repeat from step 1.

Return s after all rounds have been completed.

Example 1:

1
2
3
4
5
6
7
8
9
10
Input: s = "11111222223", k = 3
Output: "135"
Explanation:
- For the first round, we divide s into groups of size 3: "111", "112", "222", and "23".
Then we calculate the digit sum of each group: 1 + 1 + 1 = 3, 1 + 1 + 2 = 4, 2 + 2 + 2 = 6, and 2 + 3 = 5.
So, s becomes "3" + "4" + "6" + "5" = "3465" after the first round.
- For the second round, we divide s into "346" and "5".
Then we calculate the digit sum of each group: 3 + 4 + 6 = 13, 5 = 5.
So, s becomes "13" + "5" = "135" after second round.
Now, s.length <= k, so we return "135" as the answer.

Example 2:

1
2
3
4
5
6
Input: s = "00000000", k = 3
Output: "000"
Explanation:
We divide s into "000", "000", and "00".
Then we calculate the digit sum of each group: 0 + 0 + 0 = 0, 0 + 0 + 0 = 0, and 0 + 0 = 0.
s becomes "0" + "0" + "0" = "000", whose length is equal to k, so we return "000".

Constraints:

  • 1 <= s.length <= 100
  • 2 <= k <= 100
  • s consists of digits only.

Easy,暴力遍历每轮的个数

1
2
3
4
5
6
7
8
9
10
11
12
13
14
15
16
17
18
19
20
class Solution {
public:
string digitSum(string s, int k) {
while (s.length() > k) {
string temp = "";
int sum = 0;
for (int i = 0; i < s.length(); i++) {
if (i != 0 && i % k == 0) {
temp += to_string(sum);
sum = s[i] - '0';
} else {
sum += (s[i] - '0');
}
}
temp += to_string(sum);
s = temp;
}
return s;
}
};

2244. Minimum Rounds to Complete All Tasks

You are given a 0-indexed integer array tasks, where tasks[i] represents the difficulty level of a task. In each round, you can complete either 2 or 3 tasks of the same difficulty level.

Return the minimum rounds required to complete all the tasks, or -1 if it is not possible to complete all the tasks.

Example 1:

1
2
3
4
5
6
7
8
Input: tasks = [2,2,3,3,2,4,4,4,4,4]
Output: 4
Explanation: To complete all the tasks, a possible plan is:
- In the first round, you complete 3 tasks of difficulty level 2.
- In the second round, you complete 2 tasks of difficulty level 3.
- In the third round, you complete 3 tasks of difficulty level 4.
- In the fourth round, you complete 2 tasks of difficulty level 4.
It can be shown that all the tasks cannot be completed in fewer than 4 rounds, so the answer is 4.

Example 2:

1
2
3
Input: tasks = [2,3,3]
Output: -1
Explanation: There is only 1 task of difficulty level 2, but in each round, you can only complete either 2 or 3 tasks of the same difficulty level. Hence, you cannot complete all the tasks, and the answer is -1.

Constraints:

  • 1 <= tasks.length <= 105

  • 1 <= tasks[i] <= 109

    Medium,计算每个数的出现的次数,根据次数计算需要消耗的次数。

1
2
3
4
5
6
7
8
9
10
11
12
13
14
15
16
17
18
19
20
21
22
23
24
25
26
27
28
class Solution {
public:
int minimumRounds(vector<int>& tasks) {
unordered_map<int, int> count;
for (int task: tasks) {
if (count.find(task) == count.end()) {
count[task] = 1;
} else {
count[task]++;
}
}
int sum = 0;
for (auto it = count.begin(); it != count.end(); it++) {
if (it->second == 1) {
return -1;
}
sum += countRound(it->second);
}
return sum;
}
int countRound(int num) {
if (num % 3 == 0) {
return num / 3;
} else {
return num / 3 + 1;
}
}
};

2245. Maximum Trailing Zeros in a Cornered Path

You are given a 0-indexed integer array tasks, where tasks[i] represents the difficulty level of a task. In each round, you can complete either 2 or 3 tasks of the same difficulty level.

Return the minimum rounds required to complete all the tasks, or -1 if it is not possible to complete all the tasks.

You are given a 2D integer array grid of size m x n, where each cell contains a positive integer.

A cornered path is defined as a set of adjacent cells with at most one turn. More specifically, the path should exclusively move either horizontally or vertically up to the turn (if there is one), without returning to a previously visited cell. After the turn, the path will then move exclusively in the alternate direction: move vertically if it moved horizontally, and vice versa, also without returning to a previously visited cell.

The product of a path is defined as the product of all the values in the path.

Return the maximum number of trailing zeros in the product of a cornered path found in grid.

Note:

  • Horizontal movement means moving in either the left or right direction.
  • Vertical movement means moving in either the up or down direction.

Example 1:

img

1
2
3
4
5
6
7
8
Input: grid = [[23,17,15,3,20],[8,1,20,27,11],[9,4,6,2,21],[40,9,1,10,6],[22,7,4,5,3]]
Output: 3
Explanation: The grid on the left shows a valid cornered path.
It has a product of 15 * 20 * 6 * 1 * 10 = 18000 which has 3 trailing zeros.
It can be shown that this is the maximum trailing zeros in the product of a cornered path.

The grid in the middle is not a cornered path as it has more than one turn.
The grid on the right is not a cornered path as it requires a return to a previously visited cell.

Example 2:

img

1
2
3
4
Input: grid = [[4,3,2],[7,6,1],[8,8,8]]
Output: 0
Explanation: The grid is shown in the figure above.
There are no cornered paths in the grid that result in a product with a trailing zero.

Constraints:

  • m == grid.length

  • n == grid[i].length

  • 1 <= m, n <= 105

  • 1 <= m * n <= 105

  • 1 <= grid[i][j] <= 1000

    Medium,计算每个数的上下左右直线能到达的长度,计算每个角的长度。

1
2
3
4
5
6
7
8
9
10
11
12
13
14
15
16
17
18
19
20
21
22
23
24
25
26
27
28
29
30
31
32
33
34
35
36
37
38
39
40
41
42
43
44
45
46
47
48
49
50
51
52
53
54
55
56
57
58
59
60
61
62
63
64
65
66
67
68
69
70
71
class Solution {
public:
int m, n;
int maxTrailingZeros(vector<vector<int>>& grid) {
m = grid.size(), n = grid[0].size();
vector<vector<pair<int, int>>> count(m, vector<pair<int, int>>(n));
for (int i = 0; i < m; i++) {
for (int j = 0; j < n; j++) {
count[i][j] = countTwoAndFive(grid[i][j]);
}
}
vector<vector<pair<int, int>>> left(m, vector<pair<int, int>>(n));
for (int i = 0; i < m; i++) {
left[i][0].first = count[i][0].first, left[i][0].second = count[i][0].second;
for (int j = 1; j < n; j++) {
left[i][j].first = left[i][j - 1].first + count[i][j].first, left[i][j].second = left[i][j - 1].second + count[i][j].second;
// cout<<i<<" "<<j<<" "<<left[i][j].first<<" "<<left[i][j].second<<endl;
}
}
vector<vector<pair<int, int>>> right(m, vector<pair<int, int>>(n));
for (int i = 0; i < m; i++) {
right[i][n - 1].first = count[i][n - 1].first, right[i][n - 1].second = count[i][n - 1].second;
for (int j = n - 2; j >= 0; j--) {
right[i][j].first = right[i][j + 1].first + count[i][j].first, right[i][j].second = right[i][j + 1].second + count[i][j].second;
// cout<<i<<" "<<j<<" "<<right[i][j].first<<" "<<right[i][j].second<<endl;
}
}
int res = 0;
vector<pair<int, int>> up(n, make_pair(0, 0));
for (int i = 0; i < m; i++) {
for (int j = 0; j < n; j++) {
if (min(up[j].first + left[i][j].first, up[j].second + left[i][j].second) > res) {
res = min(up[j].first + left[i][j].first, up[j].second + left[i][j].second);
// cout<<i<<" "<<j<<" "<<up[j].first + left[i][j].first<<" "<<up[j].second + left[i][j].second<<endl;
}
if (min(up[j].first + right[i][j].first, up[j].second + right[i][j].second) > res) {
res = min(up[j].first + right[i][j].first, up[j].second + right[i][j].second);
// cout<<i<<" "<<j<<" "<<up[j].first + right[i][j].first<<" "<<up[j].second + right[i][j].second<<endl;
}
up[j].first += count[i][j].first, up[j].second += count[i][j].second;
}
}
vector<pair<int, int>> bottom(n, make_pair(0, 0));
for (int i = m - 1; i >= 0; i--) {
for (int j = 0; j < n; j++) {
if (min(bottom[j].first + left[i][j].first, bottom[j].second + left[i][j].second) > res) {
res = min(bottom[j].first + left[i][j].first, bottom[j].second + left[i][j].second);
// cout<<i<<" "<<j<<endl;
}
if (min(bottom[j].first + right[i][j].first, bottom[j].second + right[i][j].second) > res) {
res = min(bottom[j].first + right[i][j].first, bottom[j].second + right[i][j].second);
// cout<<i<<" "<<j<<endl;
}
bottom[j].first += count[i][j].first, bottom[j].second += count[i][j].second;
}
}
return res;
}
pair<int, int> countTwoAndFive(int num) {
int countTwo = 0, countFive = 0;
while (num % 2 == 0) {
num /= 2;
countTwo++;
}
while (num % 5 == 0) {
num /= 5;
countFive++;
}
return make_pair(countTwo, countFive);
}
};

Failed: 2246. Longest Path With Different Adjacent Characters

You are given a tree (i.e. a connected, undirected graph that has no cycles) rooted at node 0 consisting of n nodes numbered from 0 to n - 1. The tree is represented by a 0-indexed array parent of size n, where parent[i] is the parent of node i. Since node 0 is the root, parent[0] == -1.

You are also given a string s of length n, where s[i] is the character assigned to node i.

Return the length of the longest path in the tree such that no pair of adjacent nodes on the path have the same character assigned to them.

Example 1:

img

1
2
3
4
Input: parent = [-1,0,0,1,1,2], s = "abacbe"
Output: 3
Explanation: The longest path where each two adjacent nodes have different characters in the tree is the path: 0 -> 1 -> 3. The length of this path is 3, so 3 is returned.
It can be proven that there is no longer path that satisfies the conditions.

Example 2:

graph2drawio

1
2
3
Input: parent = [-1,0,0,0], s = "aabc"
Output: 3
Explanation: The longest path where each two adjacent nodes have different characters is the path: 2 -> 0 -> 3. The length of this path is 3, so 3 is returned.

Constraints:

  • n == parent.length == s.length
  • 1 <= n <= 105
  • 0 <= parent[i] <= n - 1 for all i >= 1
  • parent[0] == -1
  • parent represents a valid tree.
  • s consists of only lowercase English letters.

Hard,找到父节点,进行BFS或DFS。

DFS

1
2
3
4
5
6
7
8
9
10
11
12
13
14
15
16
17
18
19
20
21
22
23
class Solution {
public:
int longestPath(vector<int>& parent, string s) {
int n = s.size(), res = 0;
vector<vector<int>> children(n, vector<int>());
for (int i = 1; i < n; i++) {
children[parent[i]].push_back(i);
}
dfs(children, s, res, 0);
return res;
}
int dfs(vector<vector<int>>& children, string& s, int& res, int i) {
int big1 = 0, big2 = 0;
for (int &j: children[i]) {
int cur = dfs(children, s, res, j);
if (s[i] == s[j]) continue;
if (cur > big2) big2 = cur;
if (big2 > big1) swap(big1, big2);
}
res = max(res, big1 + big2 + 1);
return big1 + 1;
}
};

BFS

1
2
3
4
5
6
7
8
9
10
11
12
13
14
15
16
17
18
19
20
21
22
23
24
25
26
27
28
29
30
31
32
class Solution {
public:
int longestPath(vector<int>& parent, string s) {
int n = parent.size(), res = 1;
vector<int> cnt(n), top1(n, 1), top2(n, 1);
for (int i = 1; i < n; i++)
cnt[parent[i]]++;
vector<int> q;
for (int i = 1; i < n; i++)
if (cnt[i] == 0)
q.push_back(i);
while (!q.empty() && q.back() != 0) {
vector<int> q1;
for (int i : q) {
int p = parent[i];
int length = 1 + (s[i] != s[p] ? top1[i] : 0);
if (top1[p] <= length) {
top2[p] = top1[p];
top1[p] = length;
}
else
top2[p] = max(top2[p], length);
if (--cnt[p] == 0) {
q1.push_back(p);
res = max(res, top1[p] + top2[p] - 1);
}
}
swap(q, q1);
}
return res;
}
};

Weekly Contest 291

Weekly Contest 291

2259. Remove Digit From Number to Maximize Result

You are given a string number representing a positive integer and a character digit.

Return the resulting string after removing exactly one occurrence of digit from number such that the value of the resulting string in decimal form is maximized. The test cases are generated such that digit occurs at least once in number.

Example 1:

1
2
3
Input: number = "123", digit = "3"
Output: "12"
Explanation: There is only one '3' in "123". After removing '3', the result is "12".

Example 2:

1
2
3
4
Input: number = "1231", digit = "1"
Output: "231"
Explanation: We can remove the first '1' to get "231" or remove the second '1' to get "123".
Since 231 > 123, we return "231".

Example 3:

1
2
3
4
Input: number = "551", digit = "5"
Output: "51"
Explanation: We can remove either the first or second '5' from "551".
Both result in the string "51".

Constraints:

  • 2 <= number.length <= 100
  • number consists of digits from '1' to '9'.
  • digit is a digit from '1' to '9'.
  • digit occurs at least once in number.

Easy,就是暴力,自己string用得不熟,写的太烂

1
2
3
4
5
6
7
8
9
10
11
12
13
14
15
16
17
18
19
20
21
22
23
24
25
26
27
28
29
30
31
32
33
34
35
class Solution {
public:
string removeDigit(string number, char digit) {
string res;
int last;
const int n = number.size();
for (int i = 0; i < n; ) {
if (number[i] == digit) {
string left = i > 0 ? number.substr(0, i) : "";
// cout<<left<<endl;
string right = i < n - 1 ? number.substr(i + 1, n - i - 1) : "";
// cout<<right<<endl;
string temp = left + right;
if (res == "") {
res = temp;
last = i;
} else {
for (int j = last; j < i; j++) {
if (temp[j] > res[j]) {
res = temp;
last = i;
break;
} else if (temp[j] < res[j]) {
break;
}
}
}
while (i < n && number[i] == digit) i++;
} else {
i++;
}
}
return res;
}
};

别人写得比较好的

1
2
3
4
5
6
7
8
9
10
11
12
13
14
15
16
class Solution {
public:
string removeDigit(string number, char digit) {
string ans = "0";
int n = number.length();
for(int i = 0; i < number.length(); i++){
if(number[i] == digit){
string temp = number.substr(0, i) + number.substr(i + 1, n - i);
if(temp > ans){
ans = temp;
}
}
}
return ans;
}
};

2260. Minimum Consecutive Cards to Pick Up

You are given an integer array cards where cards[i] represents the value of the ith card. A pair of cards are matching if the cards have the same value.

Return the minimum number of consecutive cards you have to pick up to have a pair of matching cards among the picked cards. If it is impossible to have matching cards, return -1.

Example 1:

1
2
3
Input: cards = [3,4,2,3,4,7]
Output: 4
Explanation: We can pick up the cards [3,4,2,3] which contain a matching pair of cards with value 3. Note that picking up the cards [4,2,3,4] is also optimal.

Example 2:

1
2
3
Input: cards = [1,0,5,3]
Output: -1
Explanation: There is no way to pick up a set of consecutive cards that contain a pair of matching cards.

Constraints:

  • 1 <= cards.length <= 105
  • 0 <= cards[i] <= 106

Medium,保存每个最后出现的字母个数

1
2
3
4
5
6
7
8
9
10
11
12
13
14
15
16
17
18
19
class Solution {
public:
int minimumCardPickup(vector<int>& cards) {
unordered_map<int, int> last;
const int n = cards.size();
int res = n + 1;
for (int i = 0; i < n; i++) {
if (last.find(cards[i]) != last.end()) {
res = min(res, i - last[cards[i]] + 1);
}
last[cards[i]] = i;
}
if (res == n + 1) {
return -1;
} else {
return res;
}
}
};

2261. K Divisible Elements Subarrays

Given an integer array nums and two integers k and p, return the number of distinct subarrays which have at most k elements divisible by p.

Two arrays nums1 and nums2 are said to be distinct if:

  • They are of different lengths, or
  • There exists at least one index i where nums1[i] != nums2[i].

A subarray is defined as a non-empty contiguous sequence of elements in an array.

Example 1:

1
2
3
4
5
6
7
8
Input: nums = [2,3,3,2,2], k = 2, p = 2
Output: 11
Explanation:
The elements at indices 0, 3, and 4 are divisible by p = 2.
The 11 distinct subarrays which have at most k = 2 elements divisible by 2 are:
[2], [2,3], [2,3,3], [2,3,3,2], [3], [3,3], [3,3,2], [3,3,2,2], [3,2], [3,2,2], and [2,2].
Note that the subarrays [2] and [3] occur more than once in nums, but they should each be counted only once.
The subarray [2,3,3,2,2] should not be counted because it has 3 elements that are divisible by 2.

Example 2:

1
2
3
4
5
6
Input: nums = [1,2,3,4], k = 4, p = 1
Output: 10
Explanation:
All element of nums are divisible by p = 1.
Also, every subarray of nums will have at most 4 elements that are divisible by 1.
Since all subarrays are distinct, the total number of subarrays satisfying all the constraints is 10.

Constraints:

  • 1 <= nums.length <= 200
  • 1 <= nums[i], p <= 200
  • 1 <= k <= nums.length

Mediu,以字符串形式保存每个符合要求的子数组

1
2
3
4
5
6
7
8
9
10
11
12
13
14
15
16
17
18
19
class Solution {
public:
int countDistinct(vector<int>& nums, int k, int p) {
unordered_set<string> visited;
for (int left = 0; left < nums.size(); left++) {
int count = 0;
string temp = "";
for (int right = left; right < nums.size(); right++) {
if (nums[right] % p == 0) {
count++;
}
if (count > k) break;
temp += to_string(nums[right]) + "#";
visited.insert(temp);
}
}
return visited.size();
}
};

Failed: 2262. Total Appeal of A String

The appeal of a string is the number of distinct characters found in the string.

  • For example, the appeal of "abbca" is 3 because it has 3 distinct characters: 'a', 'b', and 'c'.

Given a string s, return the *total appeal of all of its \substrings*.**

A substring is a contiguous sequence of characters within a string.

Example 1:

1
2
3
4
5
6
7
8
9
Input: s = "abbca"
Output: 28
Explanation: The following are the substrings of "abbca":
- Substrings of length 1: "a", "b", "b", "c", "a" have an appeal of 1, 1, 1, 1, and 1 respectively. The sum is 5.
- Substrings of length 2: "ab", "bb", "bc", "ca" have an appeal of 2, 1, 2, and 2 respectively. The sum is 7.
- Substrings of length 3: "abb", "bbc", "bca" have an appeal of 2, 2, and 3 respectively. The sum is 7.
- Substrings of length 4: "abbc", "bbca" have an appeal of 3 and 3 respectively. The sum is 6.
- Substrings of length 5: "abbca" has an appeal of 3. The sum is 3.
The total sum is 5 + 7 + 7 + 6 + 3 = 28.

Example 2:

1
2
3
4
5
6
7
8
Input: s = "code"
Output: 20
Explanation: The following are the substrings of "code":
- Substrings of length 1: "c", "o", "d", "e" have an appeal of 1, 1, 1, and 1 respectively. The sum is 4.
- Substrings of length 2: "co", "od", "de" have an appeal of 2, 2, and 2 respectively. The sum is 6.
- Substrings of length 3: "cod", "ode" have an appeal of 3 and 3 respectively. The sum is 6.
- Substrings of length 4: "code" has an appeal of 4. The sum is 4.
The total sum is 4 + 6 + 6 + 4 = 20.

Constraints:

  • 1 <= s.length <= 105
  • s consists of lowercase English letters.

Hard,其实可以很简单,保存每个字母当前位置,以及以当前位置结尾的子数组的个数

1
2
3
4
5
6
7
8
9
10
11
12
class Solution {
public:
long long appealSum(string s) {
long long res = 0, cur = 0, prev[26] = {};
for (int i = 0; i < s.size(); i++) {
cur += i + 1 - prev[s[i] - 'a'];
prev[s[i] - 'a'] = i + 1;
res += cur;
}
return res;
}
};

Weekly Contest 292

Weekly Contest 292

2264. Largest 3-Same-Digit Number in String

You are given a string num representing a large integer. An integer is good if it meets the following conditions:

  • It is a substring of num with length 3.
  • It consists of only one unique digit.

Return the maximum good integer as a string or an empty string "" if no such integer exists.

Note:

  • A substring is a contiguous sequence of characters within a string.
  • There may be leading zeroes in num or a good integer.

Example 1:

1
2
3
4
Input: num = "6777133339"
Output: "777"
Explanation: There are two distinct good integers: "777" and "333".
"777" is the largest, so we return "777".

Example 2:

1
2
3
Input: num = "2300019"
Output: "000"
Explanation: "000" is the only good integer.

Example 3:

1
2
3
Input: num = "42352338"
Output: ""
Explanation: No substring of length 3 consists of only one unique digit. Therefore, there are no good integers.

Constraints:

  • 3 <= num.length <= 1000
  • num only consists of digits.

Easy,按个遍历每个位置上的重复数

1
2
3
4
5
6
7
8
9
10
11
12
13
14
15
16
17
18
19
class Solution {
public:
string largestGoodInteger(string num) {
int ans = -1;
for (int i = 0; i < num.size() - 2; i++) {
if (num[i + 1] == num[i] && num[i + 2] == num[i]) {
if (num[i] - '0' > ans) {
ans = num[i] - '0';
}
i += 2;
}
}
if (ans == -1) {
return "";
} else {
return to_string(ans) + to_string(ans) + to_string(ans);
}
}
};

2265. Count Nodes Equal to Average of Subtree

You are given a string num representing a large integer. An integer is good if it meets the following conditions:

  • It is a substring of num with length 3.

  • It consists of only one unique digit.

Given the root of a binary tree, return the number of nodes where the value of the node is equal to the average of the values in its subtree.

Note:

  • The average of n elements is the sum of the n elements divided by n and rounded down to the nearest integer.
  • A subtree of root is a tree consisting of root and all of its descendants.

Example 1:

img

1
2
3
4
5
6
7
8
Input: root = [4,8,5,0,1,null,6]
Output: 5
Explanation:
For the node with value 4: The average of its subtree is (4 + 8 + 5 + 0 + 1 + 6) / 6 = 24 / 6 = 4.
For the node with value 5: The average of its subtree is (5 + 6) / 2 = 11 / 2 = 5.
For the node with value 0: The average of its subtree is 0 / 1 = 0.
For the node with value 1: The average of its subtree is 1 / 1 = 1.
For the node with value 6: The average of its subtree is 6 / 1 = 6.

Example 2:

img

1
2
3
Input: root = [1]
Output: 1
Explanation: For the node with value 1: The average of its subtree is 1 / 1 = 1.

Constraints:

  • The number of nodes in the tree is in the range [1, 1000].
  • 0 <= Node.val <= 1000

Medium,dfs后序遍历

1
2
3
4
5
6
7
8
9
10
11
12
13
14
15
16
17
18
19
20
21
22
23
24
25
26
27
28
29
30
31
32
33
34
35
36
37
38
39
40
/**
* Definition for a binary tree node.
* struct TreeNode {
* int val;
* TreeNode *left;
* TreeNode *right;
* TreeNode() : val(0), left(nullptr), right(nullptr) {}
* TreeNode(int x) : val(x), left(nullptr), right(nullptr) {}
* TreeNode(int x, TreeNode *left, TreeNode *right) : val(x), left(left), right(right) {}
* };
*/
class Solution {
public:
int averageOfSubtree(TreeNode* root) {
int ans = 0;
dfs(root, ans);
return ans;
}
pair<int, int> dfs(TreeNode* root, int &ans) {
if (root == nullptr) {
return make_pair(0, 0);
}
int sum = root->val, count = 1;
if (root->left != nullptr) {
auto left_ans = dfs(root->left, ans);
sum += left_ans.first;
count += left_ans.second;
}

if (root->right != nullptr) {
auto right_ans = dfs(root->right, ans);
sum += right_ans.first;
count += right_ans.second;
}
if (sum / count == root->val) {
ans++;
}
return make_pair(sum, count);
}
};

2266. Count Number of Texts

Alice is texting Bob using her phone. The mapping of digits to letters is shown in the figure below.

img

In order to add a letter, Alice has to press the key of the corresponding digit i times, where i is the position of the letter in the key.

  • For example, to add the letter 's', Alice has to press '7' four times. Similarly, to add the letter 'k', Alice has to press '5' twice.
  • Note that the digits '0' and '1' do not map to any letters, so Alice does not use them.

However, due to an error in transmission, Bob did not receive Alice’s text message but received a string of pressed keys instead.

  • For example, when Alice sent the message "bob", Bob received the string "2266622".

Given a string pressedKeys representing the string received by Bob, return the total number of possible text messages Alice could have sent.

Since the answer may be very large, return it modulo 109 + 7.

Example 1:

1
2
3
4
5
6
Input: pressedKeys = "22233"
Output: 8
Explanation:
The possible text messages Alice could have sent are:
"aaadd", "abdd", "badd", "cdd", "aaae", "abe", "bae", and "ce".
Since there are 8 possible messages, we return 8.

Example 2:

1
2
3
4
5
Input: pressedKeys = "222222222222222222222222222222222222"
Output: 82876089
Explanation:
There are 2082876103 possible text messages Alice could have sent.
Since we need to return the answer modulo 109 + 7, we return 2082876103 % (109 + 7) = 82876089.

Constraints:

  • 1 <= pressedKeys.length <= 105

  • pressedKeys only consists of digits from '2' - '9'.

    Medium,动态规划,注意第二重循环长度取决于当前字母在之前的重复次数。一开始DFS严重超时。

1
2
3
4
5
6
7
8
9
10
11
12
13
14
15
16
17
18
19
20
21
22
class Solution {
public:
const vector<string> pad = {
"", "", "abc", "def",
"ghi", "jkl", "mno",
"pqrs", "tuv", "wxyz",
};
int countTexts(string pressedKeys) {
const int n = pressedKeys.length();
vector<int> ans(n + 1, 0);
ans[0] = 1;
for (int i = 0; i < n; i++) {
string word = pad[pressedKeys[i] - '0'];
for (int j = i; j >= 0 && i - j < word.length() && pressedKeys[i] == pressedKeys[j]; j--) {
ans[i + 1] += ans[j];
ans[i + 1] %= 1000000007;
}
}

return ans[n] % 1000000007;
}
};

Failed: 2267. Check if There Is a Valid Parentheses String Path

A parentheses string is a non-empty string consisting only of '(' and ')'. It is valid if any of the following conditions is true:

  • It is ().
  • It can be written as AB (A concatenated with B), where A and B are valid parentheses strings.
  • It can be written as (A), where A is a valid parentheses string.

You are given an m x n matrix of parentheses grid. A valid parentheses string path in the grid is a path satisfying all of the following conditions:

  • The path starts from the upper left cell (0, 0).
  • The path ends at the bottom-right cell (m - 1, n - 1).
  • The path only ever moves down or right.
  • The resulting parentheses string formed by the path is valid.

Return true if there exists a valid parentheses string path in the grid. Otherwise, return false.

Example 1:

img

1
2
3
4
5
6
Input: grid = [["(","(","("],[")","(",")"],["(","(",")"],["(","(",")"]]
Output: true
Explanation: The above diagram shows two possible paths that form valid parentheses strings.
The first path shown results in the valid parentheses string "()(())".
The second path shown results in the valid parentheses string "((()))".
Note that there may be other valid parentheses string paths.

Example 2:

img

1
2
3
Input: grid = [[")",")"],["(","("]]
Output: false
Explanation: The two possible paths form the parentheses strings "))(" and ")((". Since neither of them are valid parentheses strings, we return false.

Constraints:

  • m == grid.length
  • n == grid[i].length
  • 1 <= m, n <= 100
  • grid[i][j] is either '(' or ')'.

Hard,三重DP,我的命门,又是DFS超时

1
2
3
4
5
6
7
8
9
10
11
12
13
14
15
class Solution {
public:
bool hasValidPath(vector<vector<char>>& grid) {
int m = grid.size(), n = grid[0].size(), maxk = (m + n + 1) / 2;
vector<vector<vector<int>>> dp(m + 1, vector<vector<int>>(n + 1, vector<int>(maxk + 10)));
dp[0][0][1] = 1;
for (int i = 0; i < m; i++)
for (int j = 0; j < n; j++)
for (int k = 1; k <= maxk; k++) {
dp[i][j + 1][k] |= dp[i][j][k + (grid[i][j] == '(' ? -1 : 1)];
dp[i + 1][j][k] |= dp[i][j][k + (grid[i][j] == '(' ? -1 : 1)];
}
return dp[m][n - 1][1];
}
};

Weekly Contest 293

在25岁生日前夕第一次收获了AK,十分激动。

Weekly Contest 293

2273. Find Resultant Array After Removing Anagrams

You are given a 0-indexed string array words, where words[i] consists of lowercase English letters.

In one operation, select any index i such that 0 < i < words.length and words[i - 1] and words[i] are anagrams, and delete words[i] from words. Keep performing this operation as long as you can select an index that satisfies the conditions.

Return words after performing all operations. It can be shown that selecting the indices for each operation in any arbitrary order will lead to the same result.

An Anagram is a word or phrase formed by rearranging the letters of a different word or phrase using all the original letters exactly once. For example, "dacb" is an anagram of "abdc".

Example 1:

1
2
3
4
5
6
7
8
9
10
11
Input: words = ["abba","baba","bbaa","cd","cd"]
Output: ["abba","cd"]
Explanation:
One of the ways we can obtain the resultant array is by using the following operations:
- Since words[2] = "bbaa" and words[1] = "baba" are anagrams, we choose index 2 and delete words[2].
Now words = ["abba","baba","cd","cd"].
- Since words[1] = "baba" and words[0] = "abba" are anagrams, we choose index 1 and delete words[1].
Now words = ["abba","cd","cd"].
- Since words[2] = "cd" and words[1] = "cd" are anagrams, we choose index 2 and delete words[2].
Now words = ["abba","cd"].
We can no longer perform any operations, so ["abba","cd"] is the final answer.

Example 2:

1
2
3
4
Input: words = ["a","b","c","d","e"]
Output: ["a","b","c","d","e"]
Explanation:
No two adjacent strings in words are anagrams of each other, so no operations are performed.

Constraints:

  • 1 <= words.length <= 100
  • 1 <= words[i].length <= 10
  • words[i] consists of lowercase English letters.

easy,单词排序记录各字母及其出现次数。一开始没搞懂题意做错了。

1
2
3
4
5
6
7
8
9
10
11
12
13
14
15
16
class Solution {
public:
vector<string> removeAnagrams(vector<string>& words) {
string prev;
vector<string> res;
for (string word: words) {
string wordSort = word;
sort(wordSort.begin(), wordSort.end());
if (wordSort != prev) {
prev = wordSort;
res.push_back(word);
}
}
return res;
}
};

2274. Maximum Consecutive Floors Without Special Floors

Alice manages a company and has rented some floors of a building as office space. Alice has decided some of these floors should be special floors, used for relaxation only.

You are given two integers bottom and top, which denote that Alice has rented all the floors from bottom to top (inclusive). You are also given the integer array special, where special[i] denotes a special floor that Alice has designated for relaxation.

Return the maximum number of consecutive floors without a special floor.

Example 1:

1
2
3
4
5
6
7
Input: bottom = 2, top = 9, special = [4,6]
Output: 3
Explanation: The following are the ranges (inclusive) of consecutive floors without a special floor:
- (2, 3) with a total amount of 2 floors.
- (5, 5) with a total amount of 1 floor.
- (7, 9) with a total amount of 3 floors.
Therefore, we return the maximum number which is 3 floors.

Example 2:

1
2
3
Input: bottom = 6, top = 8, special = [7,6,8]
Output: 0
Explanation: Every floor rented is a special floor, so we return 0.

Constraints:

  • 1 <= special.length <= 105
  • 1 <= bottom <= special[i] <= top <= 109
  • All the values of special are unique.

Medium,排序记录上一个楼层,注意一下边界。同样因为没搞清题意错了一次

1
2
3
4
5
6
7
8
9
10
11
12
13
14
15
16
class Solution {
public:
int maxConsecutive(int bottom, int top, vector<int>& special) {
sort(special.begin(), special.end());
int res = 0;
int prev = bottom - 1;
for (int sp: special) {
if (sp - prev - 1 > res) {
res = sp - prev - 1;
}
prev = sp;
}
if (top - prev > res) res = top - prev;
return res;
}
};

2275. Largest Combination With Bitwise AND Greater Than Zero

Alice manages a company and has rented some floors of a building as office space. Alice has decided some of these floors should be special floors, used for relaxation only.

You are given two integers bottom and top, which denote that Alice has rented all the floors from bottom to top (inclusive). You are also given the integer array special, where special[i] denotes a special floor that Alice has designated for relaxation.

Return the maximum number of consecutive floors without a special floor.

The bitwise AND of an array nums is the bitwise AND of all integers in nums.

  • For example, for nums = [1, 5, 3], the bitwise AND is equal to 1 & 5 & 3 = 1.
  • Also, for nums = [7], the bitwise AND is 7.

You are given an array of positive integers candidates. Evaluate the bitwise AND of every combination of numbers of candidates. Each number in candidates may only be used once in each combination.

Return the size of the largest combination of candidates with a bitwise AND greater than 0.

Example 1:

1
2
3
4
5
6
7
Input: candidates = [16,17,71,62,12,24,14]
Output: 4
Explanation: The combination [16,17,62,24] has a bitwise AND of 16 & 17 & 62 & 24 = 16 > 0.
The size of the combination is 4.
It can be shown that no combination with a size greater than 4 has a bitwise AND greater than 0.
Note that more than one combination may have the largest size.
For example, the combination [62,12,24,14] has a bitwise AND of 62 & 12 & 24 & 14 = 8 > 0.

Example 2:

1
2
3
4
Input: candidates = [8,8]
Output: 2
Explanation: The largest combination [8,8] has a bitwise AND of 8 & 8 = 8 > 0.
The size of the combination is 2, so we return 2.

Constraints:

  • 1 <= candidates.length <= 105
  • 1 <= candidates[i] <= 107

Medium,遍历每一位,找到该位有最多的数。

1
2
3
4
5
6
7
8
9
10
11
12
13
14
15
16
17
18
19
20
21
22
class Solution {
public:
int largestCombination(vector<int>& candidates) {
int res = 0;
vector<int> count (25, 0);
for (int candidate: candidates) {
int i = 0, cur = 1;
while (candidate != 0) {
if (candidate & cur) {
count[i]++;
candidate ^= cur;
}
i++;
cur <<= 1;
}
}
for (int i = 0; i < 25; i++) {
if (count[i] > res) res = count[i];
}
return res;
}
};

2276. Count Integers in Intervals

Given an empty set of intervals, implement a data structure that can:

  • Add an interval to the set of intervals.
  • Count the number of integers that are present in at least one interval.

Implement the CountIntervals class:

  • CountIntervals() Initializes the object with an empty set of intervals.
  • void add(int left, int right) Adds the interval [left, right] to the set of intervals.
  • int count() Returns the number of integers that are present in at least one interval.

Note that an interval [left, right] denotes all the integers x where left <= x <= right.

Example 1:

1
2
3
4
5
6
7
8
9
10
11
12
13
14
15
16
17
18
19
Input
["CountIntervals", "add", "add", "count", "add", "count"]
[[], [2, 3], [7, 10], [], [5, 8], []]
Output
[null, null, null, 6, null, 8]

Explanation
CountIntervals countIntervals = new CountIntervals(); // initialize the object with an empty set of intervals.
countIntervals.add(2, 3); // add [2, 3] to the set of intervals.
countIntervals.add(7, 10); // add [7, 10] to the set of intervals.
countIntervals.count(); // return 6
// the integers 2 and 3 are present in the interval [2, 3].
// the integers 7, 8, 9, and 10 are present in the interval [7, 10].
countIntervals.add(5, 8); // add [5, 8] to the set of intervals.
countIntervals.count(); // return 8
// the integers 2 and 3 are present in the interval [2, 3].
// the integers 5 and 6 are present in the interval [5, 8].
// the integers 7 and 8 are present in the intervals [5, 8] and [7, 10].
// the integers 9 and 10 are present in the interval [7, 10].

Constraints:

  • 1 <= left <= right <= 109
  • At most 105 calls in total will be made to add and count.
  • At least one call will be made to count.

Hard,使用map保存每一个interval的开始和结尾,插入时注意原先interval的删除。

1
2
3
4
5
6
7
8
9
10
11
12
13
14
15
16
17
18
19
20
21
22
23
24
25
26
27
28
29
30
31
32
33
34
35
36
37
38
39
40
41
class CountIntervals {
private:
map<int, int> intervals;
int len = 0;
public:
CountIntervals() {

}

void add(int left, int right) {
auto iter = intervals.upper_bound(right);
if (iter == intervals.begin()) {
intervals[left] = right;
len += right - left + 1;
return ;
}
iter--;
while(true) {
if (iter->second < left) break;
len -= (iter->second - iter->first + 1);
left = min(left, iter->first);
right = max(right, iter->second);
iter = intervals.erase(iter);
if (iter == intervals.begin()) break;
else iter--;
}
intervals[left] = right;
len += right - left + 1;
}

int count() {
return len;
}
};

/**
* Your CountIntervals object will be instantiated and called as such:
* CountIntervals* obj = new CountIntervals();
* obj->add(left,right);
* int param_2 = obj->count();
*/

Weekly Contest 294

image-20220522144029784

2278. Percentage of Letter in String

Given a string s and a character letter, return the percentage of characters in s that equal letter *rounded down to the nearest whole percent.*

Example 1:

1
2
3
4
Input: s = "foobar", letter = "o"
Output: 33
Explanation:
The percentage of characters in s that equal the letter 'o' is 2 / 6 * 100% = 33% when rounded down, so we return 33.

Example 2:

1
2
3
4
Input: s = "jjjj", letter = "k"
Output: 0
Explanation:
The percentage of characters in s that equal the letter 'k' is 0%, so we return 0.

Constraints:

  • 1 <= s.length <= 100
  • s consists of lowercase English letters.
  • letter is a lowercase English letter.

Easy,很简单的计数

1
2
3
4
5
6
7
8
9
10
11
12
13
class Solution {
public:
int percentageLetter(string s, char letter) {
const int n = s.size();
int count = 0;
for (int i = 0; i < n; i++) {
if (s[i] == letter) {
count++;
}
}
return count * 100 / n;
}
};

2279. Maximum Bags With Full Capacity of Rocks

You have n bags numbered from 0 to n - 1. You are given two 0-indexed integer arrays capacity and rocks. The ith bag can hold a maximum of capacity[i] rocks and currently contains rocks[i] rocks. You are also given an integer additionalRocks, the number of additional rocks you can place in any of the bags.

Return the maximum number of bags that could have full capacity after placing the additional rocks in some bags.

Example 1:

1
2
3
4
5
6
7
8
9
Input: capacity = [2,3,4,5], rocks = [1,2,4,4], additionalRocks = 2
Output: 3
Explanation:
Place 1 rock in bag 0 and 1 rock in bag 1.
The number of rocks in each bag are now [2,3,4,4].
Bags 0, 1, and 2 have full capacity.
There are 3 bags at full capacity, so we return 3.
It can be shown that it is not possible to have more than 3 bags at full capacity.
Note that there may be other ways of placing the rocks that result in an answer of 3.

Example 2:

1
2
3
4
5
6
7
8
9
Input: capacity = [10,2,2], rocks = [2,2,0], additionalRocks = 100
Output: 3
Explanation:
Place 8 rocks in bag 0 and 2 rocks in bag 2.
The number of rocks in each bag are now [10,2,2].
Bags 0, 1, and 2 have full capacity.
There are 3 bags at full capacity, so we return 3.
It can be shown that it is not possible to have more than 3 bags at full capacity.
Note that we did not use all of the additional rocks.

Constraints:

  • n == capacity.length == rocks.length
  • 1 <= n <= 5 * 104
  • 1 <= capacity[i] <= 109
  • 0 <= rocks[i] <= capacity[i]
  • 1 <= additionalRocks <= 109

Medium,做差,采用的最小堆选取最小的差

1
2
3
4
5
6
7
8
9
10
11
12
13
14
15
16
17
18
19
20
class Solution {
public:
int maximumBags(vector<int>& capacity, vector<int>& rocks, int additionalRocks) {
priority_queue<int, vector<int>, greater<int>> pq;
int res = 0;
for (int i = 0; i < capacity.size(); i++) {
pq.push(capacity[i] - rocks[i]);
}
while (!pq.empty()) {
if (pq.top() > additionalRocks) {
break;
} else {
res++;
additionalRocks -= pq.top();
pq.pop();
}
}
return res;
}
};

2280. Minimum Lines to Represent a Line Chart

You are given a 2D integer array stockPrices where stockPrices[i] = [dayi, pricei] indicates the price of the stock on day dayi is pricei. A line chart is created from the array by plotting the points on an XY plane with the X-axis representing the day and the Y-axis representing the price and connecting adjacent points. One such example is shown below:

img

Return the minimum number of lines needed to represent the line chart.

Example 1:

ex0

1
2
3
4
5
6
7
8
9
Input: stockPrices = [[1,7],[2,6],[3,5],[4,4],[5,4],[6,3],[7,2],[8,1]]
Output: 3
Explanation:
The diagram above represents the input, with the X-axis representing the day and Y-axis representing the price.
The following 3 lines can be drawn to represent the line chart:
- Line 1 (in red) from (1,7) to (4,4) passing through (1,7), (2,6), (3,5), and (4,4).
- Line 2 (in blue) from (4,4) to (5,4).
- Line 3 (in green) from (5,4) to (8,1) passing through (5,4), (6,3), (7,2), and (8,1).
It can be shown that it is not possible to represent the line chart using less than 3 lines.

Example 2:

ex1

1
2
3
4
Input: stockPrices = [[3,4],[1,2],[7,8],[2,3]]
Output: 1
Explanation:
As shown in the diagram above, the line chart can be represented with a single line.

Constraints:

  • 1 <= stockPrices.length <= 105
  • stockPrices[i].length == 2
  • 1 <= dayi, pricei <= 109
  • All dayi are distinct.

Medium,判断与之前的2点是否共线,务必注意用除法计算有精度误差。

1
2
3
4
5
6
7
8
9
10
11
12
13
14
15
16
17
18
19
20
21
22
23
class Solution {
public:
int minimumLines(vector<vector<int>>& stockPrices) {
if (stockPrices.size() == 1) return 0;
sort(stockPrices.begin(), stockPrices.end(),
[](vector<int> & a, vector<int> & b) -> bool {
return a[0] < b[0];
});
int res = 1;
int pre = 0;
for (int i = 1; i < stockPrices.size(); i++) {
if (i > pre + 1 && !isSameLine(stockPrices[pre][0], stockPrices[pre][1], stockPrices[i - 1][0], stockPrices[i - 1][1], stockPrices[i][0], stockPrices[i][1])) {
res++;
pre = i - 1;
}
}

return res;
}
bool isSameLine(int x0, int y0, int x1, int y1, int x2, int y2) {
return (long long)(y1 - y0) * (long long)(x2 - x0) == (long long)(y2 - y0) * (long long)(x1 - x0);
}
};

Failed: 2281. Sum of Total Strength of Wizards

As the ruler of a kingdom, you have an army of wizards at your command.

You are given a 0-indexed integer array strength, where strength[i] denotes the strength of the ith wizard. For a contiguous group of wizards (i.e. the wizards’ strengths form a subarray of strength), the total strength is defined as the product of the following two values:

  • The strength of the weakest wizard in the group.
  • The total of all the individual strengths of the wizards in the group.

Return the sum of the total strengths of all contiguous groups of wizards. Since the answer may be very large, return it modulo 109 + 7.

A subarray is a contiguous non-empty sequence of elements within an array.

Example 1:

1
2
3
4
5
6
7
8
9
10
11
12
13
14
Input: strength = [1,3,1,2]
Output: 44
Explanation: The following are all the contiguous groups of wizards:
- [1] from [1,3,1,2] has a total strength of min([1]) * sum([1]) = 1 * 1 = 1
- [3] from [1,3,1,2] has a total strength of min([3]) * sum([3]) = 3 * 3 = 9
- [1] from [1,3,1,2] has a total strength of min([1]) * sum([1]) = 1 * 1 = 1
- [2] from [1,3,1,2] has a total strength of min([2]) * sum([2]) = 2 * 2 = 4
- [1,3] from [1,3,1,2] has a total strength of min([1,3]) * sum([1,3]) = 1 * 4 = 4
- [3,1] from [1,3,1,2] has a total strength of min([3,1]) * sum([3,1]) = 1 * 4 = 4
- [1,2] from [1,3,1,2] has a total strength of min([1,2]) * sum([1,2]) = 1 * 3 = 3
- [1,3,1] from [1,3,1,2] has a total strength of min([1,3,1]) * sum([1,3,1]) = 1 * 5 = 5
- [3,1,2] from [1,3,1,2] has a total strength of min([3,1,2]) * sum([3,1,2]) = 1 * 6 = 6
- [1,3,1,2] from [1,3,1,2] has a total strength of min([1,3,1,2]) * sum([1,3,1,2]) = 1 * 7 = 7
The sum of all the total strengths is 1 + 9 + 1 + 4 + 4 + 4 + 3 + 5 + 6 + 7 = 44.

Example 2:

1
2
3
4
5
6
7
8
9
10
Input: strength = [5,4,6]
Output: 213
Explanation: The following are all the contiguous groups of wizards:
- [5] from [5,4,6] has a total strength of min([5]) * sum([5]) = 5 * 5 = 25
- [4] from [5,4,6] has a total strength of min([4]) * sum([4]) = 4 * 4 = 16
- [6] from [5,4,6] has a total strength of min([6]) * sum([6]) = 6 * 6 = 36
- [5,4] from [5,4,6] has a total strength of min([5,4]) * sum([5,4]) = 4 * 9 = 36
- [4,6] from [5,4,6] has a total strength of min([4,6]) * sum([4,6]) = 4 * 10 = 40
- [5,4,6] from [5,4,6] has a total strength of min([5,4,6]) * sum([5,4,6]) = 4 * 15 = 60
The sum of all the total strengths is 25 + 16 + 36 + 36 + 40 + 60 = 213.

Constraints:

  • 1 <= strength.length <= 105
  • 1 <= strength[i] <= 109

Hard, 学到了新的东西,prefixMul,单纯用prefixSum还是会超时

1
2
3
4
5
6
7
8
9
10
11
12
13
14
15
16
17
18
19
20
21
22
23
24
25
26
27
28
29
30
31
class Solution {
public:
int totalStrength(vector<int>& strength) {
long long n = strength.size(), mod = 1000000007;
long long res = 0;
vector<long long> preSumLeft(n + 1), preSumRight(n + 1);
vector<long long> preMulLeft(n + 1), preMulRight(n + 1);
for (int i = 0; i < n; i++) {
preSumLeft[i + 1] = (preSumLeft[i] + strength[i]) % mod;
preMulLeft[i + 1] = (preMulLeft[i] + strength[i] * (long long)(i + 1)) % mod;
}
for (int i = n - 1; i >= 0; i--) {
preSumRight[i] = (preSumRight[i + 1] + strength[i]) % mod;
preMulRight[i] = (preMulRight[i + 1] + strength[i] * (long long)(n - i)) % mod;
}
stack<int> stk;
for (int i = 0; i <= n; i++) {
while (!stk.empty() && (i == n || strength[stk.top()] >= strength[i])) {
int pivot = stk.top();
stk.pop();
int pre = stk.empty() ? 0 : stk.top() + 1;
long long left_sum = (preMulLeft[pivot + 1] - preMulLeft[pre] - pre * (preSumLeft[pivot + 1] - preSumLeft[pre])) % mod;
long long right_sum = (preMulRight[pivot + 1] - preMulRight[i] - (n - i) * (preSumRight[pivot + 1] - preSumRight[i])) % mod;
long long all_sum = (right_sum * (pivot - pre + 1) + left_sum * (i - pivot)) % mod;
res = (res + all_sum * strength[pivot]) % mod;
}
stk.push(i);
}
return res;
}
};

Weekly Contest 295

image-20220529142039839

2287. Rearrange Characters to Make Target String

You are given two 0-indexed strings s and target. You can take some letters from s and rearrange them to form new strings.

Return the maximum number of copies of target that can be formed by taking letters from s and rearranging them.

Example 1:

1
2
3
4
5
6
7
Input: s = "ilovecodingonleetcode", target = "code"
Output: 2
Explanation:
For the first copy of "code", take the letters at indices 4, 5, 6, and 7.
For the second copy of "code", take the letters at indices 17, 18, 19, and 20.
The strings that are formed are "ecod" and "code" which can both be rearranged into "code".
We can make at most two copies of "code", so we return 2.

Example 2:

1
2
3
4
5
6
Input: s = "abcba", target = "abc"
Output: 1
Explanation:
We can make one copy of "abc" by taking the letters at indices 0, 1, and 2.
We can make at most one copy of "abc", so we return 1.
Note that while there is an extra 'a' and 'b' at indices 3 and 4, we cannot reuse the letter 'c' at index 2, so we cannot make a second copy of "abc".

Example 3:

1
2
3
4
5
Input: s = "abbaccaddaeea", target = "aaaaa"
Output: 1
Explanation:
We can make one copy of "aaaaa" by taking the letters at indices 0, 3, 6, 9, and 12.
We can make at most one copy of "aaaaa", so we return 1.

Constraints:

  • 1 <= s.length <= 100
  • 1 <= target.length <= 10
  • s and target consist of lowercase English letters.

Easy,统计各字符数量

1
2
3
4
5
6
7
8
9
10
11
12
13
14
15
16
17
18
19
class Solution {
public:
int rearrangeCharacters(string s, string target) {
vector<int> index(26);
for (char c: s) {
index[c - 'a']++;
}
vector<int> t(26);
for (char c: target) {
t[c - 'a']++;
}
int res = s.size();
for (char c: target) {
int diff = c - 'a';
res = min(res, index[diff] / t[diff]);
}
return res;
}
};

2288. Apply Discount to Prices

A sentence is a string of single-space separated words where each word can contain digits, lowercase letters, and the dollar sign '$'. A word represents a price if it is a non-negative real number preceded by a dollar sign.

  • For example, "$100", "$23", and "$6.75" represent prices while "100", "$", and "2$3" do not.

You are given a string sentence representing a sentence and an integer discount. For each word representing a price, apply a discount of discount% on the price and update the word in the sentence. All updated prices should be represented with exactly two decimal places.

Return a string representing the modified sentence.

Example 1:

1
2
3
4
5
6
Input: sentence = "there are $1 $2 and 5$ candies in the shop", discount = 50
Output: "there are $0.50 $1.00 and 5$ candies in the shop"
Explanation:
The words which represent prices are "$1" and "$2".
- A 50% discount on "$1" yields "$0.50", so "$1" is replaced by "$0.50".
- A 50% discount on "$2" yields "$1". Since we need to have exactly 2 decimal places after a price, we replace "$2" with "$1.00".

Example 2:

1
2
3
4
5
6
Input: sentence = "1 2 $3 4 $5 $6 7 8$ $9 $10$", discount = 100
Output: "1 2 $0.00 4 $0.00 $0.00 7 8$ $0.00 $10$"
Explanation:
Applying a 100% discount on any price will result in 0.
The words representing prices are "$3", "$5", "$6", and "$9".
Each of them is replaced by "$0.00".

Constraints:

  • 1 <= sentence.length <= 105
  • sentence consists of lowercase English letters, digits, ' ', and '$'.
  • sentence does not have leading or trailing spaces.
  • All words in sentence are separated by a single space.
  • All prices will be positive integers without leading zeros.
  • All prices will have at most 10 digits.
  • 0 <= discount <= 100

Medium,这题坑在题目没说明白,其实只有前面是$后面是空格才需要转换,以及对计算精度扣的太死

1
2
3
4
5
6
7
8
9
10
11
12
13
14
15
16
17
18
19
20
21
22
23
24
25
26
27
28
29
30
class Solution {
public:
string discountPrices(string sentence, int discount) {
string res;
for (int i = 0; i < sentence.size(); i++) {
char c = sentence[i];
if (c == '$' && (i == 0 || sentence[i - 1] == ' ')) {
res += c;
i++;
string cur;
while (i < sentence.size() && sentence[i] >= '0' && sentence[i] <= '9') {
cur += sentence[i];
i++;
}
if (cur != "" && ((i < sentence.size() && sentence[i] == ' ') || i == sentence.size())) {
long double num = stod(cur);
string str = to_string(num / 100 * (100 - discount));
string newNum = str.substr(0, str.find('.') + 3);
res += newNum;
} else {
res += cur;
}
i--;
} else {
res += c;
}
}
return res;
}
};

Failed: 2289. Steps to Make Array Non-decreasing

You are given a 0-indexed integer array nums. In one step, remove all elements nums[i] where nums[i - 1] > nums[i] for all 0 < i < nums.length.

Return the number of steps performed until nums becomes a non-decreasing array.

Example 1:

1
2
3
4
5
6
7
Input: nums = [5,3,4,4,7,3,6,11,8,5,11]
Output: 3
Explanation: The following are the steps performed:
- Step 1: [5,3,4,4,7,3,6,11,8,5,11] becomes [5,4,4,7,6,11,11]
- Step 2: [5,4,4,7,6,11,11] becomes [5,4,7,11,11]
- Step 3: [5,4,7,11,11] becomes [5,7,11,11]
[5,7,11,11] is a non-decreasing array. Therefore, we return 3.

Example 2:

1
2
3
Input: nums = [4,5,7,7,13]
Output: 0
Explanation: nums is already a non-decreasing array. Therefore, we return 0.

Constraints:

  • 1 <= nums.length <= 105
  • 1 <= nums[i] <= 109

Medium,想到了最小栈和dp,但解决问题水平稍欠火候

1
2
3
4
5
6
7
8
9
10
11
12
13
14
15
16
17
18
19
20
21
22
class Solution {
public:
int totalSteps(vector<int>& nums) {
int res = 0;
stack<int> stk;
int n = nums.size();
vector<int> dp(n);
for (int i = 0; i< n; i++) {
int cur = 0;
while (!stk.empty() && nums[i] >= nums[stk.top()]) {
cur = max(cur, dp[stk.top()]);
stk.pop();
}
if (!stk.empty()) {
dp[i] = cur + 1;
res = max(res, cur + 1);
}
stk.push(i);
}
return res;
}
};

Failed: 2290. Minimum Obstacle Removal to Reach Corner

You are given a 0-indexed 2D integer array grid of size m x n. Each cell has one of two values:

  • 0 represents an empty cell,
  • 1 represents an obstacle that may be removed.

You can move up, down, left, or right from and to an empty cell.

Return the minimum number of obstacles to remove so you can move from the upper left corner (0, 0) to the lower right corner (m - 1, n - 1).

Example 1:

img

1
2
3
4
5
Input: grid = [[0,1,1],[1,1,0],[1,1,0]]
Output: 2
Explanation: We can remove the obstacles at (0, 1) and (0, 2) to create a path from (0, 0) to (2, 2).
It can be shown that we need to remove at least 2 obstacles, so we return 2.
Note that there may be other ways to remove 2 obstacles to create a path.

Example 2:

img

1
2
3
Input: grid = [[0,1,0,0,0],[0,1,0,1,0],[0,0,0,1,0]]
Output: 0
Explanation: We can move from (0, 0) to (2, 4) without removing any obstacles, so we return 0.

Constraints:

  • m == grid.length
  • n == grid[i].length
  • 1 <= m, n <= 105
  • 2 <= m * n <= 105
  • grid[i][j] is either 0 or 1.
  • grid[0][0] == grid[m - 1][n - 1] == 0

Hard,动态规划+优先队列

1
2
3
4
5
6
7
8
9
10
11
12
13
14
15
16
17
18
19
20
21
22
23
24
25
26
27
28
29
30
31
32
33
34
class Solution {
public:
int minimumObstacles(vector<vector<int>>& grid) {
int m = grid.size(), n = grid[0].size();
vector<vector<int>> dp(m, vector<int>(n, 1e5 + 1));
priority_queue<tuple<int, int, int>, vector<tuple<int, int, int>>, greater<tuple<int, int, int>>> pq;

pq.push({grid[0][0], 0, 0});
int dirs[4][2] = {{0, 1},{-1, 0},{1, 0},{0, -1}};
while (!pq.empty()) {
auto [c, i, j] = pq.top();
pq.pop();

if (i == m - 1 && j == n - 1) {
return c + grid[i][j];
}

for (auto &d: dirs) {
int x = d[0] + i;
int y = d[1] + j;

if (x < 0 || y < 0 || x >= m || y >= n)
continue;

if (dp[x][y] > grid[x][y] + c) {
dp[x][y] = grid[x][y] + c;
pq.push({grid[x][y] + c, x, y});
}
}
}

return -1;
}
};

Weekly Contest 296

image-20220605164049910

2293. Min Max Game

You are given a 0-indexed integer array nums whose length is a power of 2.

Apply the following algorithm on nums:

  1. Let n be the length of nums. If n == 1, end the process. Otherwise, create a new 0-indexed integer array newNums of length n / 2.
  2. For every even index i where 0 <= i < n / 2, assign the value of newNums[i] as min(nums[2 * i], nums[2 * i + 1]).
  3. For every odd index i where 0 <= i < n / 2, assign the value of newNums[i] as max(nums[2 * i], nums[2 * i + 1]).
  4. Replace the array nums with newNums.
  5. Repeat the entire process starting from step 1.

Return the last number that remains in nums after applying the algorithm.

Example 1:

example1drawio

1
2
3
4
5
6
7
Input: nums = [1,3,5,2,4,8,2,2]
Output: 1
Explanation: The following arrays are the results of applying the algorithm repeatedly.
First: nums = [1,5,4,2]
Second: nums = [1,4]
Third: nums = [1]
1 is the last remaining number, so we return 1.

Example 2:

1
2
3
Input: nums = [3]
Output: 3
Explanation: 3 is already the last remaining number, so we return 3.

Constraints:

  • 1 <= nums.length <= 1024
  • 1 <= nums[i] <= 109
  • nums.length is a power of 2.

Easy,模拟法

1
2
3
4
5
6
7
8
9
10
11
12
13
14
15
16
17
18
19
class Solution {
public:
int minMaxGame(vector<int>& nums) {
int n = nums.size();
while (n != 1) {
bool isMin = true;
for (int i = 0; i < n / 2; i++) {
if (isMin == true) {
nums[i] = min(nums[2 * i], nums[2 * i + 1]);
} else {
nums[i] = max(nums[2 * i], nums[2 * i + 1]);
}
isMin = !isMin;
}
n /= 2;
}
return nums[0];
}
};

2294. Partition Array Such That Maximum Difference Is K

You are given an integer array nums and an integer k. You may partition nums into one or more subsequences such that each element in nums appears in exactly one of the subsequences.

Return the minimum number of subsequences needed such that the difference between the maximum and minimum values in each subsequence is at most k.

A subsequence is a sequence that can be derived from another sequence by deleting some or no elements without changing the order of the remaining elements.

Example 1:

1
2
3
4
5
6
7
Input: nums = [3,6,1,2,5], k = 2
Output: 2
Explanation:
We can partition nums into the two subsequences [3,1,2] and [6,5].
The difference between the maximum and minimum value in the first subsequence is 3 - 1 = 2.
The difference between the maximum and minimum value in the second subsequence is 6 - 5 = 1.
Since two subsequences were created, we return 2. It can be shown that 2 is the minimum number of subsequences needed.

Example 2:

1
2
3
4
5
6
7
Input: nums = [1,2,3], k = 1
Output: 2
Explanation:
We can partition nums into the two subsequences [1,2] and [3].
The difference between the maximum and minimum value in the first subsequence is 2 - 1 = 1.
The difference between the maximum and minimum value in the second subsequence is 3 - 3 = 0.
Since two subsequences were created, we return 2. Note that another optimal solution is to partition nums into the two subsequences [1] and [2,3].

Example 3:

1
2
3
4
5
6
7
8
Input: nums = [2,2,4,5], k = 0
Output: 3
Explanation:
We can partition nums into the three subsequences [2,2], [4], and [5].
The difference between the maximum and minimum value in the first subsequences is 2 - 2 = 0.
The difference between the maximum and minimum value in the second subsequences is 4 - 4 = 0.
The difference between the maximum and minimum value in the third subsequences is 5 - 5 = 0.
Since three subsequences were created, we return 3. It can be shown that 3 is the minimum number of subsequences needed.

Constraints:

  • 1 <= nums.length <= 105
  • 0 <= nums[i] <= 105
  • 0 <= k <= 105

Medium,排序+贪心

1
2
3
4
5
6
7
8
9
10
11
12
13
14
class Solution {
public:
int partitionArray(vector<int>& nums, int k) {
sort(nums.begin(), nums.end());
int pre = 0, ans = 1;
for (int i = 1; i < nums.size(); i++) {
if (nums[i] - nums[pre] > k) {
pre = i;
ans++;
}
}
return ans;
}
};

2295. Replace Elements in an Array

You are given a 0-indexed array nums that consists of n distinct positive integers. Apply m operations to this array, where in the ith operation you replace the number operations[i][0] with operations[i][1].

It is guaranteed that in the ith operation:

  • operations[i][0] exists in nums.
  • operations[i][1] does not exist in nums.

Return the array obtained after applying all the operations.

Example 1:

1
2
3
4
5
6
7
Input: nums = [1,2,4,6], operations = [[1,3],[4,7],[6,1]]
Output: [3,2,7,1]
Explanation: We perform the following operations on nums:
- Replace the number 1 with 3. nums becomes [3,2,4,6].
- Replace the number 4 with 7. nums becomes [3,2,7,6].
- Replace the number 6 with 1. nums becomes [3,2,7,1].
We return the final array [3,2,7,1].

Example 2:

1
2
3
4
5
6
7
Input: nums = [1,2], operations = [[1,3],[2,1],[3,2]]
Output: [2,1]
Explanation: We perform the following operations to nums:
- Replace the number 1 with 3. nums becomes [3,2].
- Replace the number 2 with 1. nums becomes [3,1].
- Replace the number 3 with 2. nums becomes [2,1].
We return the array [2,1].

Constraints:

  • n == nums.length
  • m == operations.length
  • 1 <= n, m <= 105
  • All the values of nums are distinct.
  • operations[i].length == 2
  • 1 <= nums[i], operations[i][0], operations[i][1] <= 106
  • operations[i][0] will exist in nums when applying the ith operation.
  • operations[i][1] will not exist in nums when applying the ith operation.

Medium,map保存数据

1
2
3
4
5
6
7
8
9
10
11
12
13
14
15
16
17
class Solution {
public:
vector<int> arrayChange(vector<int>& nums, vector<vector<int>>& operations) {
unordered_map<int, int> numToIndex;
for (int i = 0; i < nums.size(); i++) {
numToIndex[nums[i]] = i;
}
for (int i = 0; i < operations.size(); i++) {
int deletedNum = operations[i][0], replacedNum = operations[i][1];
int index = numToIndex[deletedNum];
numToIndex.erase(deletedNum);
nums[index] = replacedNum;
numToIndex[replacedNum] = index;
}
return nums;
}
};

Failed: 2296. Design a Text Editor

Design a text editor with a cursor that can do the following:

  • Add text to where the cursor is.
  • Delete text from where the cursor is (simulating the backspace key).
  • Move the cursor either left or right.

When deleting text, only characters to the left of the cursor will be deleted. The cursor will also remain within the actual text and cannot be moved beyond it. More formally, we have that 0 <= cursor.position <= currentText.length always holds.

Implement the TextEditor class:

  • TextEditor() Initializes the object with empty text.
  • void addText(string text) Appends text to where the cursor is. The cursor ends to the right of text.
  • int deleteText(int k) Deletes k characters to the left of the cursor. Returns the number of characters actually deleted.
  • string cursorLeft(int k) Moves the cursor to the left k times. Returns the last min(10, len) characters to the left of the cursor, where len is the number of characters to the left of the cursor.
  • string cursorRight(int k) Moves the cursor to the right k times. Returns the last min(10, len) characters to the left of the cursor, where len is the number of characters to the left of the cursor.

Example 1:

1
2
3
4
5
6
7
8
9
10
11
12
13
14
15
16
17
18
19
20
21
22
23
24
25
26
27
28
29
30
Input
["TextEditor", "addText", "deleteText", "addText", "cursorRight", "cursorLeft", "deleteText", "cursorLeft", "cursorRight"]
[[], ["leetcode"], [4], ["practice"], [3], [8], [10], [2], [6]]
Output
[null, null, 4, null, "etpractice", "leet", 4, "", "practi"]

Explanation
TextEditor textEditor = new TextEditor(); // The current text is "|". (The '|' character represents the cursor)
textEditor.addText("leetcode"); // The current text is "leetcode|".
textEditor.deleteText(4); // return 4
// The current text is "leet|".
// 4 characters were deleted.
textEditor.addText("practice"); // The current text is "leetpractice|".
textEditor.cursorRight(3); // return "etpractice"
// The current text is "leetpractice|".
// The cursor cannot be moved beyond the actual text and thus did not move.
// "etpractice" is the last 10 characters to the left of the cursor.
textEditor.cursorLeft(8); // return "leet"
// The current text is "leet|practice".
// "leet" is the last min(10, 4) = 4 characters to the left of the cursor.
textEditor.deleteText(10); // return 4
// The current text is "|practice".
// Only 4 characters were deleted.
textEditor.cursorLeft(2); // return ""
// The current text is "|practice".
// The cursor cannot be moved beyond the actual text and thus did not move.
// "" is the last min(10, 0) = 0 characters to the left of the cursor.
textEditor.cursorRight(6); // return "practi"
// The current text is "practi|ce".
// "practi" is the last min(10, 6) = 6 characters to the left of the cursor.

Constraints:

  • 1 <= text.length, k <= 40
  • text consists of lowercase English letters.
  • At most 2 * 104 calls in total will be made to addText, deleteText, cursorLeft and cursorRight.

Hard,其实不难,莫名其妙++a换成a++就会超时

1
2
3
4
5
6
7
8
9
10
11
12
13
14
15
16
17
18
19
20
21
22
23
24
25
26
27
28
29
30
31
32
33
34
35
36
37
38
39
40
41
42
43
44
45
46
47
48
49
50
class TextEditor {
string s;
int pos ;
public:
TextEditor() {
pos = 0;
}

void addText(string text) {
s.insert(pos, text);
pos += text.size();
// cout << "add" << endl;
}

int deleteText(int k) {
int ans = 0;
while (pos != 0 && ans < k) {
s.erase(pos - 1, 1);
pos--;
ans++;
}
// cout << "delet" << endl;
return ans;
}

string cursorLeft(int k) {
// cout << "r" << endl;
pos = max(pos - k, 0);
string res;
for (int i = pos - 10; i < pos; ++i) if (i >= 0) res += s[i];
return res;
}

string cursorRight(int k) {
// cout << "R" << endl;
pos = min(pos+k, int(s.size()));
string res;
for (int i = pos - 10; i < pos; ++i) if (i >= 0) res += s[i];
return res;
}
};

/**
* Your TextEditor object will be instantiated and called as such:
* TextEditor* obj = new TextEditor();
* obj->addText(text);
* int param_2 = obj->deleteText(k);
* string param_3 = obj->cursorLeft(k);
* string param_4 = obj->cursorRight(k);
*/

使用栈

1
2
3
4
5
6
7
8
9
10
11
12
13
14
15
16
17
18
19
20
21
22
23
24
25
26
27
28
29
30
31
32
33
34
35
36
37
38
39
40
41
42
43
44
45
46
47
48
49
50
51
52
53
54
55
56
57
58
59
60
class TextEditor {
stack<char> left;
stack<char> right;
public:
TextEditor() {

}

void addText(string text) {
for(auto &c : text){
left.push(c);
}
}

int deleteText(int k) {
int cnt=0;
while(!left.empty() and k>0){
left.pop();
cnt++;
k--;
}
return cnt;
}

string cursorLeft(int k) {
while(!left.empty() and k>0){
char c = left.top();left.pop();
right.push(c);
k--;
}
// returning the last min(10, len) characters to the left of the cursor
return cursorShiftString();
}

string cursorRight(int k) {
while(!right.empty() and k>0){
char c = right.top();right.pop();
left.push(c);
k--;
}
// returning the last min(10, len) characters to the left of the cursor
return cursorShiftString();
}

// function to return the last min(10, len) characters to the left of the cursor
string cursorShiftString(){
string rtn = "";
int cnt=10;
while(!left.empty() and cnt>0){
char c = left.top();left.pop();
rtn += c;
cnt--;
}
reverse(rtn.begin(),rtn.end());
for(int i=0;i<rtn.size();i++){
left.push(rtn[i]);
}
return rtn;
}
};

Weekly Contest 297

image-20220612180750249

2303. Calculate Amount Paid in Taxes

You are given a 0-indexed 2D integer array brackets where brackets[i] = [upperi, percenti] means that the ith tax bracket has an upper bound of upperi and is taxed at a rate of percenti. The brackets are sorted by upper bound (i.e. upperi-1 < upperi for 0 < i < brackets.length).

Tax is calculated as follows:

  • The first upper0 dollars earned are taxed at a rate of percent0.
  • The next upper1 - upper0 dollars earned are taxed at a rate of percent1.
  • The next upper2 - upper1 dollars earned are taxed at a rate of percent2.
  • And so on.

You are given an integer income representing the amount of money you earned. Return the amount of money that you have to pay in taxes. Answers within 10-5 of the actual answer will be accepted.

Example 1:

1
2
3
4
5
6
7
Input: brackets = [[3,50],[7,10],[12,25]], income = 10
Output: 2.65000
Explanation:
The first 3 dollars you earn are taxed at 50%. You have to pay $3 * 50% = $1.50 dollars in taxes.
The next 7 - 3 = 4 dollars you earn are taxed at 10%. You have to pay $4 * 10% = $0.40 dollars in taxes.
The final 10 - 7 = 3 dollars you earn are taxed at 25%. You have to pay $3 * 25% = $0.75 dollars in taxes.
You have to pay a total of $1.50 + $0.40 + $0.75 = $2.65 dollars in taxes.

Example 2:

1
2
3
4
5
6
Input: brackets = [[1,0],[4,25],[5,50]], income = 2
Output: 0.25000
Explanation:
The first dollar you earn is taxed at 0%. You have to pay $1 * 0% = $0 dollars in taxes.
The second dollar you earn is taxed at 25%. You have to pay $1 * 25% = $0.25 dollars in taxes.
You have to pay a total of $0 + $0.25 = $0.25 dollars in taxes.

Example 3:

1
2
3
4
Input: brackets = [[2,50]], income = 0
Output: 0.00000
Explanation:
You have no income to tax, so you have to pay a total of $0 dollars in taxes.

Constraints:

  • 1 <= brackets.length <= 100
  • 1 <= upperi <= 1000
  • 0 <= percenti <= 100
  • 0 <= income <= 1000
  • upperi is sorted in ascending order.
  • All the values of upperi are unique.
  • The upper bound of the last tax bracket is greater than or equal to income.

Easy,累进税制计算

1
2
3
4
5
6
7
8
9
10
11
12
13
14
15
16
class Solution {
public:
double calculateTax(vector<vector<int>>& brackets, int income) {
double res = 0.0;
int pre = 0;
for (auto &bracket: brackets) {
if (income <= bracket[0]) {
res += (double)(income - pre) * bracket[1] /100;
break;
}
res += (double)(bracket[0] - pre) * bracket[1] /100;
pre = bracket[0];
}
return res;
}
};

2304. Minimum Path Cost in a Grid

You are given a 0-indexed m x n integer matrix grid consisting of distinct integers from 0 to m * n - 1. You can move in this matrix from a cell to any other cell in the next row. That is, if you are in cell (x, y) such that x < m - 1, you can move to any of the cells (x + 1, 0), (x + 1, 1), …, (x + 1, n - 1). Note that it is not possible to move from cells in the last row.

Each possible move has a cost given by a 0-indexed 2D array moveCost of size (m * n) x n, where moveCost[i][j] is the cost of moving from a cell with value i to a cell in column j of the next row. The cost of moving from cells in the last row of grid can be ignored.

The cost of a path in grid is the sum of all values of cells visited plus the sum of costs of all the moves made. Return the minimum cost of a path that starts from any cell in the first row and ends at any cell in the last row.

Example 1:

img

1
2
3
4
5
6
7
Input: grid = [[5,3],[4,0],[2,1]], moveCost = [[9,8],[1,5],[10,12],[18,6],[2,4],[14,3]]
Output: 17
Explanation: The path with the minimum possible cost is the path 5 -> 0 -> 1.
- The sum of the values of cells visited is 5 + 0 + 1 = 6.
- The cost of moving from 5 to 0 is 3.
- The cost of moving from 0 to 1 is 8.
So the total cost of the path is 6 + 3 + 8 = 17.

Example 2:

1
2
3
4
5
6
Input: grid = [[5,1,2],[4,0,3]], moveCost = [[12,10,15],[20,23,8],[21,7,1],[8,1,13],[9,10,25],[5,3,2]]
Output: 6
Explanation: The path with the minimum possible cost is the path 2 -> 3.
- The sum of the values of cells visited is 2 + 3 = 5.
- The cost of moving from 2 to 3 is 1.
So the total cost of this path is 5 + 1 = 6.

Constraints:

  • m == grid.length
  • n == grid[i].length
  • 2 <= m, n <= 50
  • grid consists of distinct integers from 0 to m * n - 1.
  • moveCost.length == m * n
  • moveCost[i].length == n
  • 1 <= moveCost[i][j] <= 100

Medium,dp保存上一行的最小值

1
2
3
4
5
6
7
8
9
10
11
12
13
14
15
16
17
18
19
20
21
22
23
24
25
class Solution {
public:
int minPathCost(vector<vector<int>>& grid, vector<vector<int>>& moveCost) {
int m = grid.size(), n = grid[0].size();
vector<int> cost = grid[0];
for (int i = 1; i < m; i++) {
vector<int> cur(n, INT_MAX);
for (int j = 0; j < n; j++) {
for (int k = 0; k < n; k++) {
if (cost[j] + moveCost[grid[i - 1][j]][k] + grid[i][k] < cur[k]) {
cur[k] = cost[j] + moveCost[grid[i - 1][j]][k] + grid[i][k];
}
}
}
cost = cur;
}
int res = cost[0];
for (int j = 1; j < n; j++) {
if (res > cost[j]) {
res = cost[j];
}
}
return res;
}
};

2305. Fair Distribution of Cookies

You are given an integer array cookies, where cookies[i] denotes the number of cookies in the ith bag. You are also given an integer k that denotes the number of children to distribute all the bags of cookies to. All the cookies in the same bag must go to the same child and cannot be split up.

The unfairness of a distribution is defined as the maximum total cookies obtained by a single child in the distribution.

Return the minimum unfairness of all distributions.

Example 1:

1
2
3
4
5
6
7
Input: cookies = [8,15,10,20,8], k = 2
Output: 31
Explanation: One optimal distribution is [8,15,8] and [10,20]
- The 1st child receives [8,15,8] which has a total of 8 + 15 + 8 = 31 cookies.
- The 2nd child receives [10,20] which has a total of 10 + 20 = 30 cookies.
The unfairness of the distribution is max(31,30) = 31.
It can be shown that there is no distribution with an unfairness less than 31.

Example 2:

1
2
3
4
5
6
7
8
Input: cookies = [6,1,3,2,2,4,1,2], k = 3
Output: 7
Explanation: One optimal distribution is [6,1], [3,2,2], and [4,1,2]
- The 1st child receives [6,1] which has a total of 6 + 1 = 7 cookies.
- The 2nd child receives [3,2,2] which has a total of 3 + 2 + 2 = 7 cookies.
- The 3rd child receives [4,1,2] which has a total of 4 + 1 + 2 = 7 cookies.
The unfairness of the distribution is max(7,7,7) = 7.
It can be shown that there is no distribution with an unfairness less than 7.

Constraints:

  • 2 <= cookies.length <= 8
  • 1 <= cookies[i] <= 105
  • 2 <= k <= cookies.length

Medium,dfs回溯

1
2
3
4
5
6
7
8
9
10
11
12
13
14
15
16
17
18
19
20
21
22
23
24
25
26
27
28
class Solution {
public:
int distributeCookies(vector<int>& cookies, int k) {
int n = cookies.size(), res = INT_MAX;
vector<int> count(k, 0);
dfs(cookies, count, 0, n, k, res);
return res;
}
void dfs(vector<int>& cookies, vector<int>& count, int index, int n, int k, int &res) {
if (index == n) {
int maxNum = count[0];
for (int i = 1; i < k; i++) {
if (count[i] > maxNum) {
maxNum = count[i];
}
}
if (maxNum < res) {
res = maxNum;
}
return;
}
for (int i = 0; i < k; i++) {
count[i] += cookies[index];
dfs(cookies, count, index + 1, n, k, res);
count[i] -= cookies[index];
}
}
};

Failed: 2306. Naming a Company

You are given an array of strings ideas that represents a list of names to be used in the process of naming a company. The process of naming a company is as follows:

  1. Choose 2 distinct names from ideas, call them ideaA and ideaB.
  2. Swap the first letters of ideaA and ideaB with each other.
  3. If both of the new names are not found in the original ideas, then the name ideaA ideaB (the concatenation of ideaA and ideaB, separated by a space) is a valid company name.
  4. Otherwise, it is not a valid name.

Return the number of distinct valid names for the company.

Example 1:

1
2
3
4
5
6
7
8
9
10
11
12
13
14
15
Input: ideas = ["coffee","donuts","time","toffee"]
Output: 6
Explanation: The following selections are valid:
- ("coffee", "donuts"): The company name created is "doffee conuts".
- ("donuts", "coffee"): The company name created is "conuts doffee".
- ("donuts", "time"): The company name created is "tonuts dime".
- ("donuts", "toffee"): The company name created is "tonuts doffee".
- ("time", "donuts"): The company name created is "dime tonuts".
- ("toffee", "donuts"): The company name created is "doffee tonuts".
Therefore, there are a total of 6 distinct company names.

The following are some examples of invalid selections:
- ("coffee", "time"): The name "toffee" formed after swapping already exists in the original array.
- ("time", "toffee"): Both names are still the same after swapping and exist in the original array.
- ("coffee", "toffee"): Both names formed after swapping already exist in the original array.

Example 2:

1
2
3
Input: ideas = ["lack","back"]
Output: 0
Explanation: There are no valid selections. Therefore, 0 is returned.

Constraints:

  • 2 <= ideas.length <= 5 * 104
  • 1 <= ideas[i].length <= 10
  • ideas[i] consists of lowercase English letters.
  • All the strings in ideas are unique.

Hard,保存首字母对应的单词

1
2
3
4
5
6
7
8
9
10
11
12
13
14
15
16
17
18
19
class Solution {
public:
long long distinctNames(vector<string>& ideas) {
long long res = 0;
unordered_set<string> s(begin(ideas), end(ideas));
int cnt[26][26] = {};
for (auto i = 0; i < ideas.size(); ++i) {
char first = ideas[i][0];
for (char ch = 'a'; ch <= 'z'; ++ch) {
ideas[i][0] = ch;
cnt[ch - 'a'][first - 'a'] += s.count(ideas[i]) == 0;
}
}
for (int i = 0; i < 26; i++)
for (int j = 0; j < 26; j++)
res += cnt[i][j] * cnt[j][i];
return res;
}
};

Weekly Contest 298

image-20220619175901428

2309. Greatest English Letter in Upper and Lower Case

Given a string of English letters s, return the greatest English letter which occurs as both a lowercase and uppercase letter in s. The returned letter should be in uppercase. If no such letter exists, return an empty string.

An English letter b is greater than another letter a if b appears after a in the English alphabet.

Example 1:

1
2
3
4
Input: s = "lEeTcOdE"
Output: "E"
Explanation:
The letter 'E' is the only letter to appear in both lower and upper case.

Example 2:

1
2
3
4
5
Input: s = "arRAzFif"
Output: "R"
Explanation:
The letter 'R' is the greatest letter to appear in both lower and upper case.
Note that 'A' and 'F' also appear in both lower and upper case, but 'R' is greater than 'F' or 'A'.

Example 3:

1
2
3
4
Input: s = "AbCdEfGhIjK"
Output: ""
Explanation:
There is no letter that appears in both lower and upper case.

Constraints:

  • 1 <= s.length <= 1000
  • s consists of lowercase and uppercase English letters.

Easy,统计各字母

1
2
3
4
5
6
7
8
9
10
11
12
13
14
15
16
17
18
19
20
21
22
class Solution {
public:
string greatestLetter(string s) {
vector<bool> isUpperExisted(26, false);
vector<bool> isLowerExisted(26, false);
for (char c: s) {
if ('a' <= c && c <= 'z') {
isLowerExisted[c - 'a'] = true;
} else {
isUpperExisted[c - 'A'] = true;
}
}
string res;
for (int i = 25; i >= 0; i--) {
if (isUpperExisted[i] && isLowerExisted[i]) {
res += 'A' + i;
break;
}
}
return res;
}
};

2310. Sum of Numbers With Units Digit K

Given two integers num and k, consider a set of positive integers with the following properties:

  • The units digit of each integer is k.
  • The sum of the integers is num.

Return the minimum possible size of such a set, or -1 if no such set exists.

Note:

  • The set can contain multiple instances of the same integer, and the sum of an empty set is considered 0.
  • The units digit of a number is the rightmost digit of the number.

Example 1:

1
2
3
4
5
6
Input: num = 58, k = 9
Output: 2
Explanation:
One valid set is [9,49], as the sum is 58 and each integer has a units digit of 9.
Another valid set is [19,39].
It can be shown that 2 is the minimum possible size of a valid set.

Example 2:

1
2
3
Input: num = 37, k = 2
Output: -1
Explanation: It is not possible to obtain a sum of 37 using only integers that have a units digit of 2.

Example 3:

1
2
3
Input: num = 0, k = 7
Output: 0
Explanation: The sum of an empty set is considered 0.

Constraints:

  • 0 <= num <= 3000
  • 0 <= k <= 9

Medium,数学计算未化简

1
2
3
4
5
6
7
8
9
10
11
12
class Solution {
public:
int minimumNumbers(int num, int k) {
if (num == 0) return 0;
for (int i = 1; i <= 10 && k * i <= num; i++) {
if ((num - k * i) % 10 == 0) {
return i;
}
}
return -1;
}
};

Failed: 2311. Longest Binary Subsequence Less Than or Equal to K

You are given a binary string s and a positive integer k.

Return the length of the longest subsequence of s that makes up a binary number less than or equal to k.

Note:

  • The subsequence can contain leading zeroes.
  • The empty string is considered to be equal to 0.
  • A subsequence is a string that can be derived from another string by deleting some or no characters without changing the order of the remaining characters.

Example 1:

1
2
3
4
5
Input: s = "1001010", k = 5
Output: 5
Explanation: The longest subsequence of s that makes up a binary number less than or equal to 5 is "00010", as this number is equal to 2 in decimal.
Note that "00100" and "00101" are also possible, which are equal to 4 and 5 in decimal, respectively.
The length of this subsequence is 5, so 5 is returned.

Example 2:

1
2
3
4
Input: s = "00101001", k = 1
Output: 6
Explanation: "000001" is the longest subsequence of s that makes up a binary number less than or equal to 1, as this number is equal to 1 in decimal.
The length of this subsequence is 6, so 6 is returned.

Constraints:

  • 1 <= s.length <= 1000
  • s[i] is either '0' or '1'.
  • 1 <= k <= 109

Medium,动态规划当前结果不超过k的长度数组

1
2
3
4
5
6
7
8
9
10
11
12
13
14
class Solution {
public:
int longestSubsequence(string s, int k) {
int n = s.size();
int dp[1001] = {}, j = 0;
for (char c: s) {
if (dp[j] * 2 + (c - '0') <= k)
dp[++j] = dp[j] * 2 + (c - '0');
for (int i = j; i > 0; --i)
dp[i] = min(dp[i], dp[i - 1] * 2 + c - '0');
}
return j;
}
};

Failed: 2312. Selling Pieces of Wood

You are given two integers m and n that represent the height and width of a rectangular piece of wood. You are also given a 2D integer array prices, where prices[i] = [hi, wi, pricei] indicates you can sell a rectangular piece of wood of height hi and width wi for pricei dollars.

To cut a piece of wood, you must make a vertical or horizontal cut across the entire height or width of the piece to split it into two smaller pieces. After cutting a piece of wood into some number of smaller pieces, you can sell pieces according to prices. You may sell multiple pieces of the same shape, and you do not have to sell all the shapes. The grain of the wood makes a difference, so you cannot rotate a piece to swap its height and width.

Return the maximum money you can earn after cutting an m x n piece of wood.

Note that you can cut the piece of wood as many times as you want.

Example 1:

ex1

1
2
3
4
5
6
7
8
Input: m = 3, n = 5, prices = [[1,4,2],[2,2,7],[2,1,3]]
Output: 19
Explanation: The diagram above shows a possible scenario. It consists of:
- 2 pieces of wood shaped 2 x 2, selling for a price of 2 * 7 = 14.
- 1 piece of wood shaped 2 x 1, selling for a price of 1 * 3 = 3.
- 1 piece of wood shaped 1 x 4, selling for a price of 1 * 2 = 2.
This obtains a total of 14 + 3 + 2 = 19 money earned.
It can be shown that 19 is the maximum amount of money that can be earned.

Example 2:

ex2new

1
2
3
4
5
6
7
8
Input: m = 4, n = 6, prices = [[3,2,10],[1,4,2],[4,1,3]]
Output: 32
Explanation: The diagram above shows a possible scenario. It consists of:
- 3 pieces of wood shaped 3 x 2, selling for a price of 3 * 10 = 30.
- 1 piece of wood shaped 1 x 4, selling for a price of 1 * 2 = 2.
This obtains a total of 30 + 2 = 32 money earned.
It can be shown that 32 is the maximum amount of money that can be earned.
Notice that we cannot rotate the 1 x 4 piece of wood to obtain a 4 x 1 piece of wood.

Constraints:

  • 1 <= m, n <= 200
  • 1 <= prices.length <= 2 * 104
  • prices[i].length == 3
  • 1 <= hi <= m
  • 1 <= wi <= n
  • 1 <= pricei <= 106
  • All the shapes of wood (hi, wi) are pairwise distinct.

Hard,二维动态规划

1
2
3
4
5
6
7
8
9
10
11
12
13
14
15
16
17
class Solution {
public:
long long sellingWood(int m, int n, vector<vector<int>>& prices) {
long long dp[201][201] = {};
for (auto& p: prices)
dp[p[0]][p[1]] = p[2];
for (int w = 1; w <= m; w++) {
for (int h = 1; h <= n; h++) {
for (int a = 1; a <= w / 2; a++)
dp[w][h] = max(dp[w][h], dp[a][h] + dp[w - a][h]);
for (int a = 1; a <= h / 2; a++)
dp[w][h] = max(dp[w][h], dp[w][a] + dp[w][h - a]);
}
}
return dp[m][n];
}
};

Weekly Contest 299

image-20220628090612532

2319. Check if Matrix Is X-Matrix

A square matrix is said to be an X-Matrix if both of the following conditions hold:

  1. All the elements in the diagonals of the matrix are non-zero.
  2. All other elements are 0.

Given a 2D integer array grid of size n x n representing a square matrix, return true if grid is an X-Matrix. Otherwise, return false.

Example 1:

img

1
2
3
4
5
Input: grid = [[2,0,0,1],[0,3,1,0],[0,5,2,0],[4,0,0,2]]
Output: true
Explanation: Refer to the diagram above.
An X-Matrix should have the green elements (diagonals) be non-zero and the red elements be 0.
Thus, grid is an X-Matrix.

Example 2:

img

1
2
3
4
5
Input: grid = [[5,7,0],[0,3,1],[0,5,0]]
Output: false
Explanation: Refer to the diagram above.
An X-Matrix should have the green elements (diagonals) be non-zero and the red elements be 0.
Thus, grid is not an X-Matrix.

Constraints:

  • n == grid.length == grid[i].length
  • 3 <= n <= 100
  • 0 <= grid[i][j] <= 105

Easy,直接一个单元一个单元比较

1
2
3
4
5
6
7
8
9
10
11
12
13
14
15
16
class Solution {
public:
bool checkXMatrix(vector<vector<int>>& grid) {
int n = grid.size();
for (int i = 0; i < n; i++) {
for (int j = 0; j < n; j++) {
if (i == j || i + j == n - 1) {
if (grid[i][j] == 0) return false;
} else {
if (grid[i][j] != 0) return false;
}
}
}
return true;
}
};

2320. Count Number of Ways to Place Houses

There is a street with n * 2 plots, where there are n plots on each side of the street. The plots on each side are numbered from 1 to n. On each plot, a house can be placed.

Return the number of ways houses can be placed such that no two houses are adjacent to each other on the same side of the street. Since the answer may be very large, return it modulo 109 + 7.

Note that if a house is placed on the ith plot on one side of the street, a house can also be placed on the ith plot on the other side of the street.

Example 1:

1
2
3
4
5
6
7
8
Input: n = 1
Output: 4
Explanation:
Possible arrangements:
1. All plots are empty.
2. A house is placed on one side of the street.
3. A house is placed on the other side of the street.
4. Two houses are placed, one on each side of the street.

Example 2:

image-20220628091142492

1
2
3
Input: n = 2
Output: 9
Explanation: The 9 possible arrangements are shown in the diagram above.

Constraints:

  • 1 <= n <= 104

Medium,其实每边都是斐波拉契数列,好好思考

1
2
3
4
5
6
7
8
9
10
11
12
13
14
15
class Solution {
public:
int countHousePlacements(int n) {
if (n < 3) return (n + 1) * (n + 1);
long long mod = 1e9 + 7;
long long dp0 = 2, dp1 = 3;
for (int i = 2; i < n; i++) {
int temp = dp0 + dp1;
dp0 = dp1;
dp1 = temp % mod;
}

return (dp1 * dp1) % mod;
}
};

Failed: 2321. Maximum Score Of Spliced Array

You are given two 0-indexed integer arrays nums1 and nums2, both of length n.

You can choose two integers left and right where 0 <= left <= right < n and swap the subarray nums1[left...right] with the subarray nums2[left...right].

  • For example, if nums1 = [1,2,3,4,5] and nums2 = [11,12,13,14,15] and you choose left = 1 and right = 2, nums1 becomes [1,**12,13**,4,5] and nums2 becomes [11,**2,3**,14,15].

You may choose to apply the mentioned operation once or not do anything.

The score of the arrays is the maximum of sum(nums1) and sum(nums2), where sum(arr) is the sum of all the elements in the array arr.

Return the maximum possible score.

A subarray is a contiguous sequence of elements within an array. arr[left...right] denotes the subarray that contains the elements of nums between indices left and right (inclusive).

Example 1:

1
2
3
4
Input: nums1 = [60,60,60], nums2 = [10,90,10]
Output: 210
Explanation: Choosing left = 1 and right = 1, we have nums1 = [60,90,60] and nums2 = [10,60,10].
The score is max(sum(nums1), sum(nums2)) = max(210, 80) = 210.

Example 2:

1
2
3
4
Input: nums1 = [20,40,20,70,30], nums2 = [50,20,50,40,20]
Output: 220
Explanation: Choosing left = 3, right = 4, we have nums1 = [20,40,20,40,20] and nums2 = [50,20,50,70,30].
The score is max(sum(nums1), sum(nums2)) = max(140, 220) = 220.

Example 3:

1
2
3
4
Input: nums1 = [7,11,13], nums2 = [1,1,1]
Output: 31
Explanation: We choose not to swap any subarray.
The score is max(sum(nums1), sum(nums2)) = max(31, 3) = 31.

Constraints:

  • n == nums1.length == nums2.length
  • 1 <= n <= 105
  • 1 <= nums1[i], nums2[i] <= 104

Hard,统计交换后的最大差,计算交换部分数的最大和

1
2
3
4
5
6
7
8
9
10
11
12
13
14
15
16
17
18
19
20
21
22
23
24
25
26
27
28
29
30
31
32
33
34
class Solution {
public:
int maximumsSplicedArray(vector<int>& nums1, vector<int>& nums2) {
int ans = 0, sum1 = 0, sum2 = 0;

for (int i: nums1) sum1 += i;
for (int i: nums2) sum2 += i;

ans = max(sum1, sum2);

int curr = 0, maxDiff = 0;

for (int i = 0; i < nums1.size(); i++) {
curr += (nums2[i] - nums1[i]);
maxDiff = max(maxDiff, curr);
if (curr < 0) curr = 0;
}

ans = max(ans, max(sum1 + maxDiff, sum2 - maxDiff));

curr = 0;
maxDiff = 0;

for (int i = 0; i < nums1.size(); i++) {
curr += (nums1[i] - nums2[i]);
maxDiff = max(maxDiff, curr);
if (curr < 0) curr = 0;
}

ans = max(ans, max(sum1 - maxDiff, sum2 + maxDiff));

return ans;
}
};

Failed: 2322. Minimum Score After Removals on a Tree

There is an undirected connected tree with n nodes labeled from 0 to n - 1 and n - 1 edges.

You are given a 0-indexed integer array nums of length n where nums[i] represents the value of the ith node. You are also given a 2D integer array edges of length n - 1 where edges[i] = [ai, bi] indicates that there is an edge between nodes ai and bi in the tree.

Remove two distinct edges of the tree to form three connected components. For a pair of removed edges, the following steps are defined:

  1. Get the XOR of all the values of the nodes for each of the three components respectively.
  2. The difference between the largest XOR value and the smallest XOR value is the score of the pair.
  • For example, say the three components have the node values: [4,5,7], [1,9], and [3,3,3]. The three XOR values are 4 ^ 5 ^ 7 = **6**, 1 ^ 9 = **8**, and 3 ^ 3 ^ 3 = **3**. The largest XOR value is 8 and the smallest XOR value is 3. The score is then 8 - 3 = 5.

Return the minimum score of any possible pair of edge removals on the given tree.

Example 1:

img

1
2
3
4
5
6
7
8
Input: nums = [1,5,5,4,11], edges = [[0,1],[1,2],[1,3],[3,4]]
Output: 9
Explanation: The diagram above shows a way to make a pair of removals.
- The 1st component has nodes [1,3,4] with values [5,4,11]. Its XOR value is 5 ^ 4 ^ 11 = 10.
- The 2nd component has node [0] with value [1]. Its XOR value is 1 = 1.
- The 3rd component has node [2] with value [5]. Its XOR value is 5 = 5.
The score is the difference between the largest and smallest XOR value which is 10 - 1 = 9.
It can be shown that no other pair of removals will obtain a smaller score than 9.

Example 2:

img

1
2
3
4
5
6
7
8
Input: nums = [5,5,2,4,4,2], edges = [[0,1],[1,2],[5,2],[4,3],[1,3]]
Output: 0
Explanation: The diagram above shows a way to make a pair of removals.
- The 1st component has nodes [3,4] with values [4,4]. Its XOR value is 4 ^ 4 = 0.
- The 2nd component has nodes [1,0] with values [5,5]. Its XOR value is 5 ^ 5 = 0.
- The 3rd component has nodes [2,5] with values [2,2]. Its XOR value is 2 ^ 2 = 0.
The score is the difference between the largest and smallest XOR value which is 0 - 0 = 0.
We cannot obtain a smaller score than 0.

Constraints:

  • n == nums.length
  • 3 <= n <= 1000
  • 1 <= nums[i] <= 108
  • edges.length == n - 1
  • edges[i].length == 2
  • 0 <= ai, bi < n
  • ai != bi
  • edges represents a valid tree.

Hard,暂时没搞懂

1
2
3
4
5
6
7
8
9
10
11
12
13
14
15
16
17
18
19
20
21
22
23
24
25
26
27
28
29
30
31
32
33
34
35
36
37
38
39
40
41
42
43
44
45
46
47
48
49
50
51
52
53
54
55
56
57
58
59
60
61
class Solution {vector<bool> visited;
vector<vector<int>> pc, adj; // pc is the parent child edge in our dfs
vector<vector<bool>> childs; // 2D array to store that i is a parent of j
vector<int> child_xor, nums, par; // child_xor to store result of xors of a child node and par is a gloable array to track the parents of a node in dfs

int dfs(int i) {
int ans = nums[i];
visited[i] = true;

for (int p: par) childs[p][i] = true; // Defining this node as the child of all its parents

par.push_back(i);

for (int child: adj[i])
if (!visited[child]) {
pc.push_back({i, child});
ans ^= dfs(child); // Recurcively calculating xors
}

par.pop_back();

return child_xor[i] = ans;
}
public:
int minimumScore(vector<int>& nums, vector<vector<int>>& edges) {
// Initialising gloable variables
int n = nums.size(), ans = INT_MAX;
visited = vector<bool>(n);
pc = vector<vector<int>>();
adj = vector<vector<int>>(n);
child_xor = vector<int>(n, 0);
childs = vector<vector<bool>>(n, vector<bool>(n, false));
this->nums = nums;
par = vector<int>();

// Creating an adjacency matrix
for (vector<int> &edge: edges) adj[edge[0]].push_back(edge[1]), adj[edge[1]].push_back(edge[0]);

dfs(0);

for (int i = 0; i < pc.size(); i++)
for (int j = i + 1; j < pc.size(); j++) { // removing an edge i and j
int a = pc[i][1], b = pc[j][1]; // node that will come below when you delete an edge i and j
int xa = child_xor[a], xb, xc = child_xor[0];

if (childs[a][b]) {
xb = child_xor[b];
xc ^= xa;
xa ^= xb;
} else {
xb = child_xor[b];
xc ^= xa;
xc ^= xb;
}

ans = min(max(xa, max(xb, xc)) - min(xa, min(xb, xc)), ans);
}

return ans;
}
};

Weekly Contest 300

image-20220705090111656

2325. Decode the Message

You are given the strings key and message, which represent a cipher key and a secret message, respectively. The steps to decode message are as follows:

  1. Use the first appearance of all 26 lowercase English letters in key as the order of the substitution table.
  2. Align the substitution table with the regular English alphabet.
  3. Each letter in message is then substituted using the table.
  4. Spaces ' ' are transformed to themselves.
  • For example, given key = "**hap**p**y** **bo**y" (actual key would have at least one instance of each letter in the alphabet), we have the partial substitution table of ('h' -> 'a', 'a' -> 'b', 'p' -> 'c', 'y' -> 'd', 'b' -> 'e', 'o' -> 'f').

Return the decoded message.

Example 1:

img

1
2
3
4
Input: key = "the quick brown fox jumps over the lazy dog", message = "vkbs bs t suepuv"
Output: "this is a secret"
Explanation: The diagram above shows the substitution table.
It is obtained by taking the first appearance of each letter in "the quick brown fox jumps over the lazy dog".

Example 2:

img

1
2
3
4
Input: key = "eljuxhpwnyrdgtqkviszcfmabo", message = "zwx hnfx lqantp mnoeius ycgk vcnjrdb"
Output: "the five boxing wizards jump quickly"
Explanation: The diagram above shows the substitution table.
It is obtained by taking the first appearance of each letter in "eljuxhpwnyrdgtqkviszcfmabo".

Constraints:

  • 26 <= key.length <= 2000
  • key consists of lowercase English letters and ' '.
  • key contains every letter in the English alphabet ('a' to 'z') at least once.
  • 1 <= message.length <= 2000
  • message consists of lowercase English letters and ' '.

Easy,直接哈希保存数据

1
2
3
4
5
6
7
8
9
10
11
12
13
14
15
16
17
18
19
20
21
22
23
class Solution {
public:
string decodeMessage(string key, string message) {
vector<int> code (26, 0);
int i = 1;
for (char c: key) {
if (c != ' ' && code[c - 'a'] == 0) {
code[c - 'a'] = i;
i++;
// cout<<c<<','<<i<<endl;
}
}
string res = "";
for (char c: message) {
if (c != ' ') {
res += (char)(code[c - 'a'] - 1 + 'a');
} else {
res += c;
}
}
return res;
}
};

2326. Spiral Matrix IV

You are given two integers m and n, which represent the dimensions of a matrix.

You are also given the head of a linked list of integers.

Generate an m x n matrix that contains the integers in the linked list presented in spiral order (clockwise), starting from the top-left of the matrix. If there are remaining empty spaces, fill them with -1.

Return the generated matrix.

Example 1:

img

1
2
3
4
Input: m = 3, n = 5, head = [3,0,2,6,8,1,7,9,4,2,5,5,0]
Output: [[3,0,2,6,8],[5,0,-1,-1,1],[5,2,4,9,7]]
Explanation: The diagram above shows how the values are printed in the matrix.
Note that the remaining spaces in the matrix are filled with -1.

Example 2:

img

1
2
3
4
Input: m = 1, n = 4, head = [0,1,2]
Output: [[0,1,2,-1]]
Explanation: The diagram above shows how the values are printed from left to right in the matrix.
The last space in the matrix is set to -1.

Constraints:

  • 1 <= m, n <= 105
  • 1 <= m * n <= 105
  • The number of nodes in the list is in the range [1, m * n].
  • 0 <= Node.val <= 1000

Medium,按照逻辑旋转坐标,写入链表中的数据

1
2
3
4
5
6
7
8
9
10
11
12
13
14
15
16
17
18
19
20
21
22
23
24
25
26
27
28
29
30
31
32
33
34
35
36
37
38
39
40
/**
* Definition for singly-linked list.
* struct ListNode {
* int val;
* ListNode *next;
* ListNode() : val(0), next(nullptr) {}
* ListNode(int x) : val(x), next(nullptr) {}
* ListNode(int x, ListNode *next) : val(x), next(next) {}
* };
*/
class Solution {
public:
vector<vector<int>> spiralMatrix(int m, int n, ListNode* head) {
vector<vector<int>> res(m, vector<int>(n, -1));
int top = 0, bottom = m - 1, left = 0, right = n - 1;
while (head != nullptr) {
for (int j = left; j <= right && head != nullptr; j++) {
res[top][j] = head->val;
head = head->next;
}
top++;
for (int i = top; i <= bottom && head != nullptr; i++) {
res[i][right] = head->val;
head = head->next;
}
right--;
for (int j = right; j >= left && head != nullptr; j--) {
res[bottom][j] = head->val;
head = head->next;
}
bottom--;
for (int i = bottom; i >= top && head != nullptr; i--) {
res[i][left] = head->val;
head = head->next;
}
left++;
}
return res;
}
};

2327. Number of People Aware of a Secret

On day 1, one person discovers a secret.

You are given an integer delay, which means that each person will share the secret with a new person every day, starting from delay days after discovering the secret. You are also given an integer forget, which means that each person will forget the secret forget days after discovering it. A person cannot share the secret on the same day they forgot it, or on any day afterwards.

Given an integer n, return the number of people who know the secret at the end of day n. Since the answer may be very large, return it modulo 109 + 7.

Example 1:

1
2
3
4
5
6
7
8
9
Input: n = 6, delay = 2, forget = 4
Output: 5
Explanation:
Day 1: Suppose the first person is named A. (1 person)
Day 2: A is the only person who knows the secret. (1 person)
Day 3: A shares the secret with a new person, B. (2 people)
Day 4: A shares the secret with a new person, C. (3 people)
Day 5: A forgets the secret, and B shares the secret with a new person, D. (3 people)
Day 6: B shares the secret with E, and C shares the secret with F. (5 people)

Example 2:

1
2
3
4
5
6
7
Input: n = 4, delay = 1, forget = 3
Output: 6
Explanation:
Day 1: The first person is named A. (1 person)
Day 2: A shares the secret with B. (2 people)
Day 3: A and B share the secret with 2 new people, C and D. (4 people)
Day 4: A forgets the secret. B, C, and D share the secret with 3 new people. (6 people)

Constraints:

  • 2 <= n <= 1000
  • 1 <= delay < forget <= n

Medium,维护一个每天存货天数的数组

1
2
3
4
5
6
7
8
9
10
11
12
13
14
15
16
17
18
19
20
21
class Solution {
public:
int peopleAwareOfSecret(int n, int delay, int forget) {
vector<int> dp(forget, 0);
dp[0] = 1;
int mod = 1e9 + 7;
for (int i = 1; i < n; i++) {
int cur = 0;
for (int j = forget - 1; j > 0; j--) {
dp[j] = dp[j - 1];
if (j >= delay) cur = (cur + dp[j]) % mod;
}
dp[0] = cur % mod;
}
int res = 0;
for (int j = 0; j < forget; j++) {
res = (res + dp[j]) % mod;
}
return res;
}
};

时间复杂度过高,维护每天知道sercet人数的数组

1
2
3
4
5
6
7
8
9
10
11
12
13
class Solution {
public:
int peopleAwareOfSecret(int n, int delay, int forget) {
vector<long> dp(n + 1);
dp[1] = 1;
int share = 0, mod = 1e9 + 7, res = 0 ;
for (int i = 2; i <= n; ++i)
dp[i] = share = (share + dp[max(i - delay, 0)] - dp[max(i - forget, 0)] + mod) % mod;
for (int i = n - forget + 1; i <= n; ++i)
res = (res + dp[i]) % mod;
return res;
}
};

Failed: 2328. Number of Increasing Paths in a Grid

You are given an m x n integer matrix grid, where you can move from a cell to any adjacent cell in all 4 directions.

Return the number of strictly increasing paths in the grid such that you can start from any cell and end at any cell. Since the answer may be very large, return it modulo 109 + 7.

Two paths are considered different if they do not have exactly the same sequence of visited cells.

Example 1:

img

1
2
3
4
5
6
7
Input: grid = [[1,1],[3,4]]
Output: 8
Explanation: The strictly increasing paths are:
- Paths with length 1: [1], [1], [3], [4].
- Paths with length 2: [1 -> 3], [1 -> 4], [3 -> 4].
- Paths with length 3: [1 -> 3 -> 4].
The total number of paths is 4 + 3 + 1 = 8.

Example 2:

1
2
3
4
5
6
Input: grid = [[1],[2]]
Output: 3
Explanation: The strictly increasing paths are:
- Paths with length 1: [1], [2].
- Paths with length 2: [1 -> 2].
The total number of paths is 2 + 1 = 3.

Constraints:

  • m == grid.length
  • n == grid[i].length
  • 1 <= m, n <= 1000
  • 1 <= m * n <= 105
  • 1 <= grid[i][j] <= 105

Hard,记忆化dfs

1
2
3
4
5
6
7
8
9
10
11
12
13
14
15
16
17
18
19
20
21
22
23
24
25
26
27
28
class Solution {
int mod = 1e9 + 7;
int dirs[5] = {0, -1, 0, 1, 0};
public:
int countPaths(vector<vector<int>>& grid) {
int m = grid.size(), n = grid[0].size();
int res = 0;
int f[m][n];
memset(f, -1, sizeof(f));
function<int(int, int)> dfs = [&](int i, int j) -> int {
if (f[i][j] != -1) return f[i][j];
int res = 1;
for (int k = 0; k < 4; k++) {
int x = i + dirs[k], y = j + dirs[k + 1];
if (0 <= x && x < m && 0 <= y && y < n && grid[x][y] > grid[i][j]) {
res = (res + (dfs(x, y))) % mod;
}
}
return f[i][j] = res;
};
for (int i = 0; i < m; i++) {
for (int j = 0; j < n; j++) {
res = (res + dfs(i, j)) % mod;
}
}
return res;
}
};
-------------本文结束感谢您的阅读-------------

欢迎关注我的其它发布渠道