0%

手写一个计算器

在学习C语言的时候,曾经写过一个能实现四则运算的计算器大作业,当年觉得云里雾里,好难,其实搞懂了逆波兰表达式的原理和巧妙利用栈这个数据结构,就可以实现,但是其中要考虑一些细节,不手写一遍根本记不得。我现在最熟悉的语言自然是js,自然选择它重复当年的思路,力扣上只有逆波兰表达式求值和包括+-和括号的,因此选择了牛客上的表达式求值来做,当然js可以用eval函数一行搞定,不过这么做没什么意义,主要是为了复习计算机的基础知识,还是自己动手,丰衣足食。

题目描述

请写一个整数计算器,支持加减乘三种运算和括号。

示例1

输入

1
"1+2"

返回值

1
3

示例2

输入

1
"(2*(3-4))*5"

返回

1
-10

示例3

输入

1
"3+2*3*4-1"

返回值

1
26

实现逆波兰表达式

我选择将问题拆解成2步,完成这个问题,第一步是实现逆波兰表达式,消除所有括号。我们常用的计算表达式是中缀表达式,而逆波兰表达式是后缀表达式。

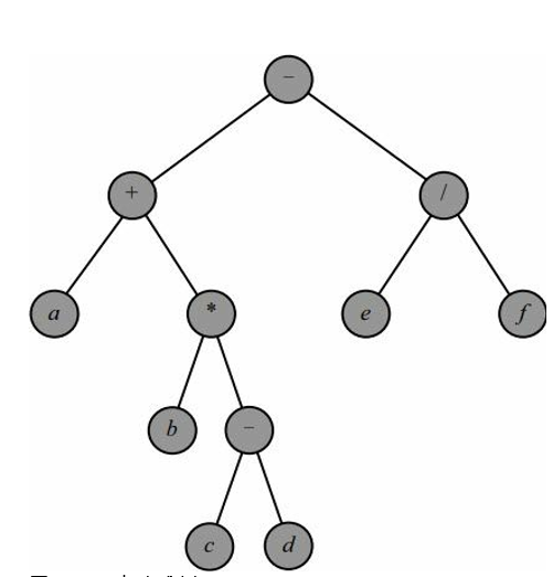
具体理解起来,将表达式写作二叉树的形式。例如,我们正常情况下看到的数学表达式a+b*(c-d)-e/f可以表示成如下所示的二叉树

对应于这棵二叉树是中序遍历,当然建立这棵树的过程需要考虑运算符的优先级,括号的配对,栈的使用。因此常规的表达式叫作中序表达式。而按照后序遍历的后序表达式就被称作逆波兰表达式,该表达式写作abcd-*+ef/-,这样可以很方便的进行计算。

将一个普通的中序表达式转换为逆波兰表达式的一般算法是:

1、首先构造一个运算符栈,此运算符在栈内遵循越往栈顶优先级越高的原则。(>*/>+-

2、读入一个中缀表达式,要注意末尾如果是数也要读入。

3、从左至右扫描该中缀表达式,如果当前字符是数字,则分析到该数字串的结束,并将该数字串保存至数组。

4、如果不是数字,该字符则是运算符,此时需比较该运算符与运算符栈顶运算符的优先关系:

(1)、若该运算符优先级高于栈顶运算符优先级别(或栈为空),则直接将该运算符压入运算符栈中;

(2)、若该运算符优先级小于或等于此运算符栈顶的运算符,则弹出栈顶运算符并保存至数组,重复比较、输出,直到栈为空或该运算符优先级高于栈顶运算符,然后将该运算符入栈。

5、重复上述操作(3)-(4)直至扫描完整个简单算术表达式,确定所有字符都得到正确处理,输出结果便是中缀表达式转化为逆波兰表示的简单算术表达式。

具体的实现方式,需要在原先的函数中设定两个栈和一个字符串,第一个栈用来保存逆波兰表达式序列(其实后来并没有利用栈的性质,只用了数组,如果一遍操作生成最终结果的话需要利用),第二个栈用来保存运算符,即运算符栈,字符串用来保存当前数

首先声明这些变量

1
2
3
4
5
6
7
8
9
10
11
12
13
14
15
16
/**
* 代码中的类名、方法名、参数名已经指定,请勿修改,直接返回方法规定的值即可
* 返回表达式的值
* @param s string字符串 待计算的表达式
* @return int整型
*/
function solve( s ) {
// write code here
// 中缀转后缀
let stack = [];
let syStack = [];
let num = "";
}
module.exports = {
solve : solve
};

接下来遍历字符串,首先处理数字,使其能计算每个数的值,从这一步开始,仅保留主函数

1
2
3
4
5
6
7
8
9
10
function solve( s ) {
let stack = [];
let syStack = [];
let num = "";
for (let char of s) {
if (char >= '0' && char <= '9') {
num += char;
}
}
}

考虑符号的分类,其中括号>乘号>加减,其中括号要分成两类(和),其中(必须入运算符栈,)必须找到对应的(并将两者之间的运算符全部出栈,注意处理符号的时候要将数保存进入第一个栈中。

1
2
3
4
5
6
7
8
9
10
11
12
13
14
15
16
17
18
19
20
21
22
23
24
25
26
27
28
29
30
31
32
33
34
35
36
37
38
39
40
41
42
43
44
45
function solve( s ) {
// write code here
// 中缀转后缀
let stack = [];
let syStack = [];
let num = "";
for (let char of s) {
if (char >= '0' && char <= '9') {
num += char;
} else if (char === '(') {
if (num !== '') {
stack.push(num);
num = '';
}
syStack.push(char);
} else if (char === '+' || char === '-') {
if (num !== '') {
stack.push(num);
num = '';
}
while (syStack.length && syStack[syStack.length - 1] !== '(') {
stack.push(syStack.pop());
}
syStack.push(char);
} else if (char === '*') {
if (num !== '') {
stack.push(num);
num = '';
}
while (syStack.length && syStack[syStack.length - 1] === '*') {
stack.push(syStack.pop());
}
syStack.push(char);
} else if (char === ')') {
if (num !== '') {
stack.push(num);
num = '';
}
while (syStack.length && syStack[syStack.length - 1] !== '(') {
stack.push(syStack.pop());
}
syStack.pop();
}
}
}

这里要注意最后一个如果是数需要再次保存,如果还有符号在运算符栈中需要出栈操作

1
2
3
4
5
6
7
8
9
10
11
12
13
14
15
16
17
18
19
20
21
22
23
24
25
26
27
28
29
30
31
32
33
34
35
36
37
38
39
40
41
42
43
44
45
46
47
48
49
50
51
function solve( s ) {
// write code here
// 中缀转后缀
let stack = [];
let syStack = [];
let num = "";
for (let char of s) {
if (char >= '0' && char <= '9') {
num += char;
} else if (char === '(') {
if (num !== '') {
stack.push(num);
num = '';
}
syStack.push(char);
} else if (char === '+' || char === '-') {
if (num !== '') {
stack.push(num);
num = '';
}
while (syStack.length && syStack[syStack.length - 1] !== '(') {
stack.push(syStack.pop());
}
syStack.push(char);
} else if (char === '*') {
if (num !== '') {
stack.push(num);
num = '';
}
while (syStack.length && syStack[syStack.length - 1] === '*') {
stack.push(syStack.pop());
}
syStack.push(char);
} else if (char === ')') {
if (num !== '') {
stack.push(num);
num = '';
}
while (syStack.length && syStack[syStack.length - 1] !== '(') {
stack.push(syStack.pop());
}
syStack.pop();
}
}
if (num !== '') {
stack.push(num);
}
while (syStack.length) {
stack.push(syStack.pop());
}
}

逆波兰表达式计算

有了逆波兰表达式树求值就非常简单了,想象一下刚才提到的二叉树,先求左子树的值,再求右子树值,然后根据根节点的运算符逐步计算最终的值。需要再创建一个栈模拟逆波兰表达式,遇见数进行入栈,遇见符号将栈中最近的两个数出栈进行操作后再入栈,最后就剩下一个数,就是最后的结果

1
2
3
4
5
6
7
8
9
10
11
12
13
14
15
16
17
18
19
20
21
22
23
24
25
function solve( s ) {
let calStack = [];
for (let ele of stack) {
if (ele === '+' || ele === '-' || ele === '*') {
let num2 = calStack.pop();
let num1 = calStack.pop();
let res;
switch (ele) {
case '+':
res = num1 + num2;
break;
case '-':
res = num1 - num2;
break;
case '*':
res = num1 * num2;
break;
}
calStack.push(res);
} else {
calStack.push(parseInt(ele));
}
}
return calStack[0];
}

完整代码

将两个步骤组合起来,可以实现最后的结果了

1
2
3
4
5
6
7
8
9
10
11
12
13
14
15
16
17
18
19
20
21
22
23
24
25
26
27
28
29
30
31
32
33
34
35
36
37
38
39
40
41
42
43
44
45
46
47
48
49
50
51
52
53
54
55
56
57
58
59
60
61
62
63
64
65
66
67
68
69
70
71
72
73
74
75
76
77
78
79
80
81
82
83
/**
* 代码中的类名、方法名、参数名已经指定,请勿修改,直接返回方法规定的值即可
* 返回表达式的值
* @param s string字符串 待计算的表达式
* @return int整型
*/
function solve( s ) {
// write code here
// 中缀转后缀
let stack = [];
let syStack = [];
let num = "";
for (let char of s) {
if (char >= '0' && char <= '9') {
num += char;
} else if (char === '(') {
if (num !== '') {
stack.push(num);
num = '';
}
syStack.push(char);
} else if (char === '+' || char === '-') {
if (num !== '') {
stack.push(num);
num = '';
}
while (syStack.length && syStack[syStack.length - 1] !== '(') {
stack.push(syStack.pop());
}
syStack.push(char);
} else if (char === '*') {
if (num !== '') {
stack.push(num);
num = '';
}
while (syStack.length && syStack[syStack.length - 1] === '*') {
stack.push(syStack.pop());
}
syStack.push(char);
} else if (char === ')') {
if (num !== '') {
stack.push(num);
num = '';
}
while (syStack.length && syStack[syStack.length - 1] !== '(') {
stack.push(syStack.pop());
}
syStack.pop();
}
}
if (num !== '') {
stack.push(num);
}
while (syStack.length) {
stack.push(syStack.pop());
}
let calStack = [];
for (let ele of stack) {
if (ele === '+' || ele === '-' || ele === '*') {
let num2 = calStack.pop();
let num1 = calStack.pop();
let res;
switch (ele) {
case '+':
res = num1 + num2;
break;
case '-':
res = num1 - num2;
break;
case '*':
res = num1 * num2;
break;
}
calStack.push(res);
} else {
calStack.push(parseInt(ele));
}
}
return calStack[0];
}
module.exports = {
solve : solve
};
-------------本文结束感谢您的阅读-------------

欢迎关注我的其它发布渠道