0%

链表刷题

按照算法和数据结构进行分类,一起来刷题,用于自己在面试前查漏补缺。我的意向岗位是前端,选择用javascript来刷题,优点是动态语言,语法简单,缺点是遇见复杂数据结构会出现较难的写法,如堆、并查集,每题对应leetcode的题号。本篇是链表

专题部分

链表

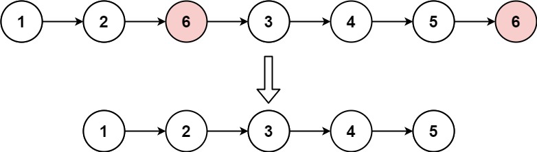
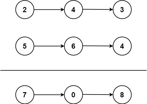
2. 两数相加

给你两个 非空 的链表,表示两个非负的整数。它们每位数字都是按照 逆序 的方式存储的,并且每个节点只能存储 一位 数字。

请你将两个数相加,并以相同形式返回一个表示和的链表。

你可以假设除了数字 0 之外,这两个数都不会以 0 开头。

示例 1:

img

1
2
3
输入:l1 = [2,4,3], l2 = [5,6,4]
输出:[7,0,8]
解释:342 + 465 = 807.

示例 2:

1
2
输入:l1 = [0], l2 = [0]
输出:[0]

示例 3:

1
2
输入:l1 = [9,9,9,9,9,9,9], l2 = [9,9,9,9]
输出:[8,9,9,9,0,0,0,1]

提示:

  • 每个链表中的节点数在范围 [1, 100]
  • 0 <= Node.val <= 9
  • 题目数据保证列表表示的数字不含前导零

主要是要注意进位和只有一个链表还有一位的情况

1
2
3
4
5
6
7
8
9
10
11
12
13
14
15
16
17
18
19
20
21
22
23
24
25
26
27
28
29
/**
* Definition for singly-linked list.
* function ListNode(val) {
* this.val = val;
* this.next = null;
* }
*/
/**
* @param {ListNode} l1
* @param {ListNode} l2
* @return {ListNode}
*/
var addTwoNumbers = function(l1, l2) {
let dummy = new ListNode();
let pre = dummy;
let flag = 0;
while (l1 || l2 || flag) {
let x1 = l1 !== null ? l1.val: 0;
let x2 = l2 !== null ? l2.val: 0;
flag = x1 + x2 + flag;
let node = new ListNode(flag % 10);
pre.next = node;
pre = pre.next;
flag = Math.floor(flag / 10);
l1 && (l1 = l1.next);
l2 && (l2 = l2.next);
}
return dummy.next;
};

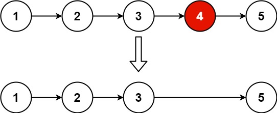
19. 删除链表的倒数第 N 个结点

给你一个链表,删除链表的倒数第 n 个结点,并且返回链表的头结点。

进阶:你能尝试使用一趟扫描实现吗?

示例 1:

img

1
2
输入:head = [1,2,3,4,5], n = 2
输出:[1,2,3,5]

示例 2:

1
2
输入:head = [1], n = 1
输出:[]

示例 3:

1
2
输入:head = [1,2], n = 1
输出:[1]

提示:

  • 链表中结点的数目为 sz
  • 1 <= sz <= 30
  • 0 <= Node.val <= 100
  • 1 <= n <= sz

快慢指针,找到对应节点的前一个节点,删除该节点

1
2
3
4
5
6
7
8
9
10
11
12
13
14
15
16
17
18
19
20
21
22
23
24
25
26
27
28
/**
* Definition for singly-linked list.
* function ListNode(val) {
* this.val = val;
* this.next = null;
* }
*/
/**
* @param {ListNode} head
* @param {number} n
* @return {ListNode}
* 双指针
*/
var removeNthFromEnd = function(head, n) {
let dummy = new ListNode(null);
dummy.next = head;
let slow = dummy;
let fast = dummy;
for(let i = 0; i <= n; i ++) {
fast = fast.next;
}
while(fast !== null) {
fast = fast.next;
slow = slow.next;
}
slow.next = slow.next.next;
return dummy.next;
};

23. 合并K个升序链表

给你一个链表数组,每个链表都已经按升序排列。

请你将所有链表合并到一个升序链表中,返回合并后的链表。

示例 1:

1
2
3
4
5
6
7
8
9
10
输入:lists = [[1,4,5],[1,3,4],[2,6]]
输出:[1,1,2,3,4,4,5,6]
解释:链表数组如下:
[
1->4->5,
1->3->4,
2->6
]
将它们合并到一个有序链表中得到。
1->1->2->3->4->4->5->6

示例 2:

1
2
输入:lists = []
输出:[]

示例 3:

1
2
输入:lists = [[]]
输出:[]

提示:

  • k == lists.length
  • 0 <= k <= 10^4
  • 0 <= lists[i].length <= 500
  • -10^4 <= lists[i][j] <= 10^4
  • lists[i]升序 排列
  • lists[i].length 的总和不超过 10^4

先写出归并2个有序链表的函数,然后归并排序

1
2
3
4
5
6
7
8
9
10
11
12
13
14
15
16
17
18
19
20
21
22
23
24
25
26
27
28
29
30
31
32
33
34
35
36
37
38
39
40
41
42
43
/*
* function ListNode(x){
* this.val = x;
* this.next = null;
* }
*/

/**
*
* @param lists ListNode类一维数组
* @return ListNode类
*/
function mergeKLists( lists ) {
// write code here
const len = lists.length;
if (len === 0) return null;
if (len === 1) return lists[0];
return mergeTwoLists(mergeKLists(lists.slice(0, len >> 1)), mergeKLists(lists.slice(len >> 1)));
}
function mergeTwoLists( l1 , l2 ) {
// write code here
if (!l1) return l2;
if (!l2) return l1;
// 头指针
let dummy = new ListNode(0);
// 当前指针
let cur = dummy;
// 两个数组均有数
while (l1 !== null && l2 !== null) {
if (l1.val <= l2.val) {
cur.next = l1;
l1 = l1.next;
} else {
cur.next = l2;
l2 = l2.next;
}
// 当前指针前进
cur = cur.next;
}
// 将未遍历完的赋值
cur.next = l1 ? l1 : l2;
return dummy.next;
}

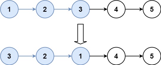
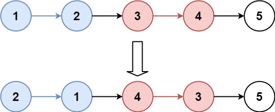
25. K 个一组翻转链表

给你一个链表,每 k 个节点一组进行翻转,请你返回翻转后的链表。

k 是一个正整数,它的值小于或等于链表的长度。

如果节点总数不是 k 的整数倍,那么请将最后剩余的节点保持原有顺序。

进阶:

  • 你可以设计一个只使用常数额外空间的算法来解决此问题吗?
  • 你不能只是单纯的改变节点内部的值,而是需要实际进行节点交换。

示例 1:

img

1
2
输入:head = [1,2,3,4,5], k = 2
输出:[2,1,4,3,5]

示例 2:

img

1
2
输入:head = [1,2,3,4,5], k = 3
输出:[3,2,1,4,5]

示例 3:

1
2
输入:head = [1,2,3,4,5], k = 1
输出:[1,2,3,4,5]

示例 4:

1
2
输入:head = [1], k = 1
输出:[1]

提示:

  • 列表中节点的数量在范围 sz
  • 1 <= sz <= 5000
  • 0 <= Node.val <= 1000
  • 1 <= k <= sz

递归操作

1
2
3
4
5
6
7
8
9
10
11
12
13
14
15
16
17
18
19
20
21
22
23
24
25
26
27
28
29
30
31
32
33
34
35
36
37
38
39
40
41
/**
* Definition for singly-linked list.
* function ListNode(val) {
* this.val = val;
* this.next = null;
* }
*/
/**
* @param {ListNode} head
* @param {number} k
* @return {ListNode}
*/
var reverseKGroup = function (head, k) {
if (head === null) return head;
// 区间 [a, b) 包含 k 个待反转元素
let a = head, b = head;
for (let i = 0; i < k; i++) {
// 不足 k 个,不需要反转,base case
if (b === null) return head;
b = b.next;
}
// 反转前 k 个元素
let newHead = reverse(a, b);
// 递归反转后续链表并连接起来
a.next = reverseKGroup(b, k);
return newHead;
};

function reverse (head, tail) {
let pre = null, cur = head, next;
while (cur !== tail) {
next = cur.next;
// 逐个结点反转
cur.next = pre;
// 更新指针位置
pre = cur;
cur = next;
}
// 返回反转后的头结点
return pre;
}

先统计数量,再K个一组翻转

1
2
3
4
5
6
7
8
9
10
11
12
13
14
15
16
17
18
19
20
21
22
23
24
25
26
27
28
29
30
31
32
33
34
35
36
37
38
39
40
41
42
43
/*
* function ListNode(x){
* this.val = x;
* this.next = null;
* }
*/

/**
*
* @param head ListNode类
* @param k int整型
* @return ListNode类
*/
function reverseKGroup( head , k ) {
// write code here
if (!head || !head.next || k < 2) return head;
let dummy = new ListNode(0);
dummy.next = head;
let pre = dummy;
let cur = head;
let len = 0;
while (head) {
len++;
head = head.next;
}
for (let i = 0; i < Math.floor(len / k); i++) {
for (let j = 1; j < k; j++) {
// 翻转之后头结点会变成尾节点,此时指向头结点的下一个节点会成为新的头结点。
let next = cur.next;
// 每次翻转一个节点,尾节点指向第三个节点。
cur.next = next.next;
// 翻转
next.next = pre.next;
// pre.next指向翻转后的头结点
pre.next = next;
}
// 每K个节点的哑节点
pre = cur;
// 每K个节点的首节点
cur = cur.next;
}
return dummy.next;
}

链表内指定空间翻转

题目描述

将一个链表m 位置到 n 位置之间的区间反转,要求时间复杂度 O(n),空间复杂度 O(1)。
例如:
给出的链表为1→2→3→4→5→NULL, m=2,n=4,
返回 1→4→3→2→5→NULL.
注意:
给出的 m,n 满足以下条件:
1≤m≤n≤链表长度

示例1

输入

1
{1,2,3,4,5},2,4

返回值

1
{1,4,3,2,5}

找到头部和尾部,进行翻转

1
2
3
4
5
6
7
8
9
10
11
12
13
14
15
16
17
18
19
20
21
22
23
24
25
26
27
28
29
30
31
32
33
34
35
36
37
38
39
40
41
42
43
44
45
46
47
48
49
50
51
/*
* function ListNode(x){
* this.val = x;
* this.next = null;
* }
*/

/**
*
* @param head ListNode类
* @param m int整型
* @param n int整型
* @return ListNode类
*/
function reverseBetween(head, m, n) {
// 哑节点
let dummy = new ListNode(0);
dummy.next = head;
let pre = dummy, cur = head;
// 找到第一个需要翻转的节点
for (let i = 0; i < m; i++) {
pre = pre.next;
cur = cur.next;
}
for (let j = 0; j < n - m; j++) {
// 跳过一个节点,记为next
let next = cur.next;
cur.next = next.next;
// 将该节点插入需要反转的头部
next.next = pre.next;
pre.next = next;
}
let dummy = new ListNode(0);
dummy.next = head;
let pre = dummy;
let cur = head;
for (let i = 0; i < m - 1; i++) {
pre = pre.next;
cur = cur.next;
}
for (let j = 0; j < n - m; j++) {
let temp = cur.next;
cur.next = temp.next;
temp.next = pre.next;
pre.next = temp;
}
return dummy.next;
}
module.exports = {
reverseBetween : reverseBetween
};

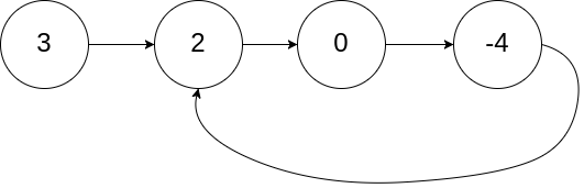
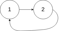
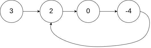
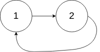
141. 环形链表

给定一个链表,判断链表中是否有环。

如果链表中有某个节点,可以通过连续跟踪 next 指针再次到达,则链表中存在环。 为了表示给定链表中的环,我们使用整数 pos 来表示链表尾连接到链表中的位置(索引从 0 开始)。 如果 pos-1,则在该链表中没有环。注意:pos 不作为参数进行传递,仅仅是为了标识链表的实际情况。

如果链表中存在环,则返回 true 。 否则,返回 false

进阶:

你能用 *O(1)*(即,常量)内存解决此问题吗?

示例 1:

img

1
2
3
输入:head = [3,2,0,-4], pos = 1
输出:true
解释:链表中有一个环,其尾部连接到第二个节点。

示例 2:

img

1
2
3
输入:head = [1,2], pos = 0
输出:true
解释:链表中有一个环,其尾部连接到第一个节点。

示例 3:

img

1
2
3
输入:head = [1], pos = -1
输出:false
解释:链表中没有环。

提示:

  • 链表中节点的数目范围是 [0, 104]

  • -105 <= Node.val <= 105

  • pos-1 或者链表中的一个 有效索引

快慢指针

1
2
3
4
5
6
7
8
9
10
11
12
13
14
15
16
17
18
19
20
21
/**
* Definition for singly-linked list.
* function ListNode(val) {
* this.val = val;
* this.next = null;
* }
*/

/**
* @param {ListNode} head
* @return {boolean}
*/
var hasCycle = function(head) {
let fast = head, slow = head;
while (fast !== null && fast.next !== null) {
fast = fast.next.next;
slow = slow.next;
if (fast === slow) return true;
}
return false;
};

142. 环形链表 II

给定一个链表,返回链表开始入环的第一个节点。 如果链表无环,则返回 null

为了表示给定链表中的环,我们使用整数 pos 来表示链表尾连接到链表中的位置(索引从 0 开始)。 如果 pos-1,则在该链表中没有环。注意,pos 仅仅是用于标识环的情况,并不会作为参数传递到函数中。

说明:不允许修改给定的链表。

进阶:

  • 你是否可以使用 O(1) 空间解决此题?

示例 1:

img

1
2
3
输入:head = [3,2,0,-4], pos = 1
输出:返回索引为 1 的链表节点
解释:链表中有一个环,其尾部连接到第二个节点。

示例 2:

img

1
2
3
输入:head = [1,2], pos = 0
输出:返回索引为 0 的链表节点
解释:链表中有一个环,其尾部连接到第一个节点。

示例 3:

img

1
2
3
输入:head = [1], pos = -1
输出:返回 null
解释:链表中没有环。

提示:

  • 链表中节点的数目范围在范围 [0, 104] 内
  • -105 <= Node.val <= 105
  • pos 的值为 -1 或者链表中的一个有效索引

使用哈希表

1
2
3
4
5
6
7
8
9
10
11
12
13
14
15
16
17
18
19
20
21
22
23
24
/**
* Definition for singly-linked list.
* function ListNode(val) {
* this.val = val;
* this.next = null;
* }
*/

/**
* @param {ListNode} head
* @return {ListNode}
*/
var detectCycle = function(head) {
// 哈希表
const visited = new Set();
while (head !== null) {
if (visited.has(head)) {
return head;
}
visited.add(head);
head = head.next;
}
return null;
};

快慢指针

1
2
3
4
5
6
7
8
9
10
11
12
13
14
15
16
17
18
19
20
21
22
23
24
25
26
27
28
/**
* Definition for singly-linked list.
* function ListNode(val) {
* this.val = val;
* this.next = null;
* }
*/

/**
* @param {ListNode} head
* @return {ListNode}
*/
var detectCycle = function(head) {
let slow = head, fast = head;
// 判断是否存在环路
do {
if (!fast || !fast.next) return null;
fast = fast.next.next;
slow = slow.next;
} while (fast !== slow);
// 如果存在,查找环路节点
fast = head;
while (fast !== slow){
slow = slow.next;
fast = fast.next;
}
return fast;
};

换一种写法

1
2
3
4
5
6
7
8
9
10
11
12
13
14
15
16
17
18
19
20
21
22
23
24
25
26
27
28
29
30
31
32
33
34
35
36
37
38
39
/**
* Definition for singly-linked list.
* function ListNode(val) {
* this.val = val;
* this.next = null;
* }
*/

/**
* @param {ListNode} head
* @return {ListNode}
*/
var detectCycle = function(head) {
if (head === null || head.next === null) return null;

// 获取相遇节点
function getIntersect(head) {
let fast = head, slow = head;
while(fast !== null && fast.next !== null) {
fast = fast.next.next;
slow = slow.next;
if (fast === slow) {
return slow;
}
}
return null;
}

const intersect = getIntersect(head);
if (intersect === null) {
return null;
}
let p1 = head, p2 = intersect;
while(p1 !== p2) {
p1 = p1.next;
p2 = p2.next;
}
return p1;
};

或者直接一次判断是否有环以及环在哪里

1
2
3
4
5
6
7
8
9
10
11
12
13
14
15
16
17
18
19
20
21
22
23
24
25
26
27
28
29
30
/**
* Definition for singly-linked list.
* function ListNode(val) {
* this.val = val;
* this.next = null;
* }
*/

/**
* @param {ListNode} head
* @return {ListNode}
*/
var detectCycle = function(head) {
let fast = head, slow = head;
while (fast !== null && fast.next !== null) {
fast = fast.next.next;
slow = slow.next;
if (fast == slow) {
let num = 0;
let cur = head;
while (cur != fast) {
cur = cur.next;
fast = fast.next;
num++;
}
return cur;
}
}
return null;
};

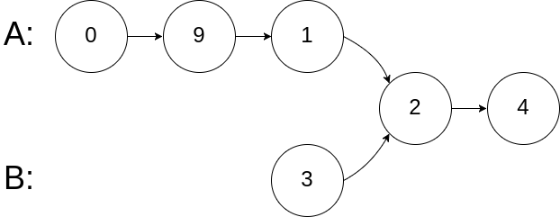
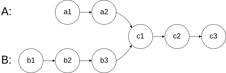
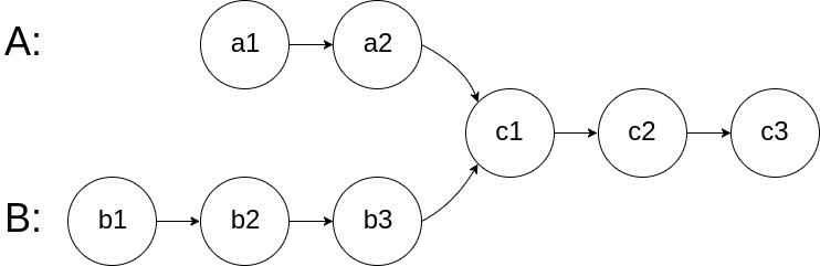
160. 相交链表

给你两个单链表的头节点 headAheadB ,请你找出并返回两个单链表相交的起始节点。如果两个链表没有交点,返回 null

图示两个链表在节点 c1 开始相交

img

题目数据 保证 整个链式结构中不存在环。

注意,函数返回结果后,链表必须 保持其原始结构

示例 1:

img

1
2
3
4
5
输入:intersectVal = 8, listA = [4,1,8,4,5], listB = [5,0,1,8,4,5], skipA = 2, skipB = 3
输出:Intersected at '8'
解释:相交节点的值为 8 (注意,如果两个链表相交则不能为 0)。
从各自的表头开始算起,链表 A 为 [4,1,8,4,5],链表 B 为 [5,0,1,8,4,5]。
在 A 中,相交节点前有 2 个节点;在 B 中,相交节点前有 3 个节点。

示例 2:

img

1
2
3
4
5
输入:intersectVal = 2, listA = [0,9,1,2,4], listB = [3,2,4], skipA = 3, skipB = 1
输出:Intersected at '2'
解释:相交节点的值为 2 (注意,如果两个链表相交则不能为 0)。
从各自的表头开始算起,链表 A 为 [0,9,1,2,4],链表 B 为 [3,2,4]。
在 A 中,相交节点前有 3 个节点;在 B 中,相交节点前有 1 个节点。

示例 3:

img

1
2
3
4
5
输入:intersectVal = 0, listA = [2,6,4], listB = [1,5], skipA = 3, skipB = 2
输出:null
解释:从各自的表头开始算起,链表 A 为 [2,6,4],链表 B 为 [1,5]。
由于这两个链表不相交,所以 intersectVal 必须为 0,而 skipA 和 skipB 可以是任意值。
这两个链表不相交,因此返回 null 。

提示:

listA 中节点数目为 m
listB 中节点数目为 n
0 <= m, n <= 3 * 104
1 <= Node.val <= 105
0 <= skipA <= m
0 <= skipB <= n
如果 listA 和 listB 没有交点,intersectVal 为 0
如果 listA 和 listB 有交点,intersectVal == listA[skipA + 1] == listB[skipB + 1]

进阶:你能否设计一个时间复杂度 O(n) 、仅用 O(1) 内存的解决方案?

使用双指针完成设计

1
2
3
4
5
6
7
8
9
10
11
12
13
14
15
16
17
18
19
20
21
/**
* Definition for singly-linked list.
* function ListNode(val) {
* this.val = val;
* this.next = null;
* }
*/

/**
* @param {ListNode} headA
* @param {ListNode} headB
* @return {ListNode}
*/
var getIntersectionNode = function(headA, headB) {
let pointA = headA, pointB = headB;
while (pointA !== pointB) {
pointA = pointA ? pointA.next : headB;
pointB = pointB ? pointB.next : headA;
}
return pointA;
};

203. 移除链表元素

给你一个链表的头节点 head 和一个整数 val ,请你删除链表中所有满足 Node.val == val 的节点,并返回 新的头节点

示例 1:

img

1
2
输入:head = [1,2,6,3,4,5,6], val = 6
输出:[1,2,3,4,5]

示例 2:

1
2
输入:head = [], val = 1
输出:[]

示例 3:

1
2
输入:head = [7,7,7,7], val = 7
输出:[]

提示:

  • 列表中的节点在范围 [0, 104]
  • 1 <= Node.val <= 50
  • 0 <= k <= 50

直接使用哑节点了,很方便

1
2
3
4
5
6
7
8
9
10
11
12
13
14
15
16
17
18
19
20
21
22
23
24
25
26
/**
* Definition for singly-linked list.
* function ListNode(val, next) {
* this.val = (val===undefined ? 0 : val)
* this.next = (next===undefined ? null : next)
* }
*/
/**
* @param {ListNode} head
* @param {number} val
* @return {ListNode}
*/
var removeElements = function(head, val) {
// 哑节点
let dummy = new ListNode(0);
dummy.next = head;
let cur = dummy;
while (cur.next !== null) {
if (cur.next.val === val) {
cur.next = cur.next.next;
} else if (cur.next !== null) {
cur = cur.next;
}
}
return dummy.next;
};

234. 回文链表

请判断一个链表是否为回文链表。

示例 1:

1
2
输入: 1->2
输出: false

示例 2:

1
2
输入: 1->2->2->1
输出: true

进阶:
你能否用 O(n) 时间复杂度和 O(1) 空间复杂度解决此题?

翻转整个链表与原链表一个一个节点对比

1
2
3
4
5
6
7
8
9
10
11
12
13
14
15
16
17
18
19
20
21
22
23
24
/**
* Definition for singly-linked list.
* function ListNode(val) {
* this.val = val;
* this.next = null;
* }
*/
/**
* @param {ListNode} head
* @return {boolean}
*/
var isPalindrome = function(head) {
let left = head;
return traverse(head);

function traverse(right) {
if (right === null) return true;
let res = traverse(right.next);
// 后序遍历代码
res = res && (right.val === left.val);
left = left.next;
return res;
}
}

快慢指针找到终点翻转后半部分

1
2
3
4
5
6
7
8
9
10
11
12
13
14
15
16
17
18
19
20
21
22
23
24
25
26
27
28
29
30
31
32
33
34
35
36
37
38
39
40
41
42
43
44
45
46
/**
* Definition for singly-linked list.
* function ListNode(val) {
* this.val = val;
* this.next = null;
* }
*/
/**
* @param {ListNode} head
* @return {boolean}
*/
var isPalindrome = function(head) {
// 先通过「双指针技巧」中的快慢指针来找到链表的中点
let slow = head, fast = head;
while (fast !== null && fast.next !== null) {
slow = slow.next;
fast = fast.next.next;
}
// slow 指针现在指向链表中点

// 如果fast指针没有指向null,说明链表长度为奇数,slow还要再前进一步:
if (fast !== null) slow = slow.next;

// 从slow开始反转后面的链表,现在就可以开始比较回文串了
let left = head;
let right = reverse(slow);

while (right !== null) {
if (left.val !== right.val)
return false;
left = left.next;
right = right.next;
}
return true;

function reverse(head) {
let pre = null, cur = head;
while (cur !== null) {
let next = cur.next;
cur.next = pre;
pre = cur;
cur = next;
}
return pre;
}
};

大佬写的代码很规范,抄了过来,本质上是一样的

1
2
3
4
5
6
7
8
9
10
11
12
13
14
15
16
17
18
19
20
21
22
23
24
25
26
27
28
29
30
31
32
33
34
35
36
37
38
39
40
41
42
43
44
45
46
47
48
49
50
51
52
/**
* Definition for singly-linked list.
* function ListNode(val) {
* this.val = val;
* this.next = null;
* }
*/
/**
* @param {ListNode} head
* @return {boolean}
* 常数空间
*/
var isPalindrome = function(head) {
if (!head) return true;

// 找到前半部分链表的尾节点并反转后半部分链表
const firstHalfEnd = endOfFirstHalf(head);
const secondHalfStart = reverseList(firstHalfEnd.next);

// 判断是否回文
let p1 = head, p2 = secondHalfStart;
let result = true;
while (result && p2 != null) {
if (p1.val != p2.val) result = false;
p1 = p1.next;
p2 = p2.next;
}

// 还原链表并返回结果
firstHalfEnd.next = reverseList(secondHalfStart);
return result;
};

const endOfFirstHalf = (head) => {
let fast = head, slow = head;
while (fast.next !== null && fast.next.next !== null) {
fast = fast.next.next;
slow = slow.next;
}
return slow;
}

const reverseList = (head) => {
let prev = null, curr = head;
while (curr !== null) {
let nextTemp = curr.next;
curr.next = prev;
prev = curr;
curr = nextTemp;
}
return prev;
}

287. 寻找重复数

给定一个包含 n + 1 个整数的数组 nums ,其数字都在 1n 之间(包括 1n),可知至少存在一个重复的整数。

假设 nums 只有 一个重复的整数 ,找出 这个重复的数

你设计的解决方案必须不修改数组 nums 且只用常量级 O(1) 的额外空间。

示例 1:

1
2
输入:nums = [1,3,4,2,2]
输出:2

示例 2:

1
2
输入:nums = [3,1,3,4,2]
输出:3

示例 3:

1
2
输入:nums = [1,1]
输出:1

示例 4:

1
2
输入:nums = [1,1,2]
输出:1

提示:

  • 1 <= n <= 105
  • nums.length == n + 1
  • 1 <= nums[i] <= n
  • nums只有一个整数 出现 两次或多次 ,其余整数均只出现 一次

进阶:

  • 如何证明 nums 中至少存在一个重复的数字?
  • 你可以设计一个线性级时间复杂度 O(n) 的解决方案吗?

使用环形链表II的方法解题(142.环形链表II),使用 142 题的思想来解决此题的关键是要理解如何将输入的数组看作为链表。
首先明确前提,整数的数组 nums 中的数字范围是 [1,n]。考虑一下两种情况:

1.如果数组中没有重复的数,以数组 [1,3,4,2]为例,我们将数组下标 n 和数 nums[n] 建立一个映射关系 f(n)f(n),
其映射关系 n->f(n)为:
0->1
1->3
2->4
3->2
我们从下标为 0 出发,根据 f(n)f(n) 计算出一个值,以这个值为新的下标,再用这个函数计算,以此类推,直到下标超界。这样可以产生一个类似链表一样的序列。
0->1->3->2->4->null

2.如果数组中有重复的数,以数组 [1,3,4,2,2] 为例,我们将数组下标 n 和数 nums[n] 建立一个映射关系 f(n)f(n),
其映射关系 n->f(n) 为:
0->1
1->3
2->4
3->2
4->2
同样的,我们从下标为 0 出发,根据 f(n)f(n) 计算出一个值,以这个值为新的下标,再用这个函数计算,以此类推产生一个类似链表一样的序列。
0->1->3->2->4->2->4->2->……
这里 2->4 是一个循环,那么这个链表可以抽象为下图:

img

从理论上讲,数组中如果有重复的数,那么就会产生多对一的映射,这样,形成的链表就一定会有环路了,

综上
1.数组中有一个重复的整数 <==> 链表中存在环
2.找到数组中的重复整数 <==> 找到链表的环入口

至此,问题转换为 142 题。那么针对此题,快、慢指针该如何走呢。根据上述数组转链表的映射关系,可推出
142 题中慢指针走一步 slow = slow.next ==> 本题 slow = nums[slow]
142 题中快指针走两步 fast = fast.next.next ==> 本题 fast = nums[nums[fast]]

1
2
3
4
5
6
7
8
9
10
11
12
13
14
15
16
17
18
19
20
21
/**
* @param {number[]} nums
* @return {number}
*/
var findDuplicate = function(nums) {
let slow = 0;
let fast = 0;
slow = nums[slow];
fast = nums[nums[fast]];
while(slow !== fast){
slow = nums[slow];
fast = nums[nums[fast]];
}
let pre1 = 0;
let pre2 = slow;
while(pre1 !== pre2){
pre1 = nums[pre1];
pre2 = nums[pre2];
}
return pre1;
}

328. 奇偶链表

给定一个单链表,把所有的奇数节点和偶数节点分别排在一起。请注意,这里的奇数节点和偶数节点指的是节点编号的奇偶性,而不是节点的值的奇偶性。

请尝试使用原地算法完成。你的算法的空间复杂度应为 O(1),时间复杂度应为 O(nodes),nodes 为节点总数。

示例 1:

1
2
输入: 1->2->3->4->5->NULL
输出: 1->3->5->2->4->NULL

示例 2:

1
2
输入: 2->1->3->5->6->4->7->NULL 
输出: 2->3->6->7->1->5->4->NULL

说明:

  • 应当保持奇数节点和偶数节点的相对顺序。
  • 链表的第一个节点视为奇数节点,第二个节点视为偶数节点,以此类推。
1
2
3
4
5
6
7
8
9
10
11
12
13
14
15
16
17
18
19
20
21
22
23
24
25
26
27
28
29
30
31
/**
* Definition for singly-linked list.
* function ListNode(val, next) {
* this.val = (val===undefined ? 0 : val)
* this.next = (next===undefined ? null : next)
* }
*/
/**
* @param {ListNode} head
* @return {ListNode}
*/
var oddEvenList = function(head) {
if (head === null) return head;
let evenHead = head.next;
// 奇指针,偶指针
let odd = head, even = evenHead;
// 迭代
while (even !== null && even.next !== null) {
// 奇指针下个节点指向当前偶节点的下一个指针
odd.next = even.next;
// 奇指针前移
odd = odd.next;
// 偶指针下个节点指向当前奇节点的下一个指针
even.next = odd.next;
// 偶指针前移
even = even.next;
}
// 奇指针末尾节点指向偶指针第一个节点
odd.next = evenHead;
return head;
};
-------------本文结束感谢您的阅读-------------

欢迎关注我的其它发布渠道